Suppr超能文献

采用水相悬浮接枝法提高高压直流电缆中聚丙烯的绝缘性能

Improved Insulation Properties of Polypropylenes in HVDC Cables Using Aqueous Suspension Grafting.

作者信息

Zhang Yiyi, Shi Keshuo, Zang Chunyan, Wei Wenchang, Xu Chuanhui, Zha Junwei

机构信息

Guangxi Key Laboratory of Intelligent Control and Maintenance of Power Equipment, Guangxi University, Nanning 530004, China.

College of Electical and Electronics Engineering, Huazhong University of Science and Technology, Wuhan 430074, China.

出版信息

Materials (Basel). 2022 Sep 10;15(18):6298. doi: 10.3390/ma15186298.

Abstract

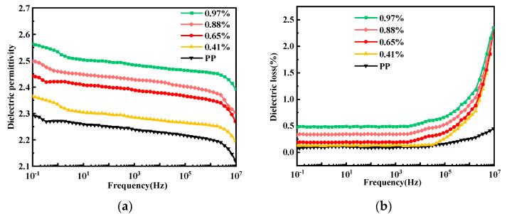
Owing to its lack of crosslinking, polypropylene (PP) is considered an environmentally friendly alternative to crosslinked polyethylene as high-voltage direct current (HVDC) cable insulation. However, pure PP can accumulate space charges under a HVDC, and thus must be modified for use as an insulating material for HVDC cables. In this study, 4-methylstyrene is grafted onto PP using an aqueous suspension grafting method to improve its properties. The effects of the swelling time, reaction time, and 4-methylphenylene concentration on the reaction were investigated. The optimum process conditions were determined, including an optimum grafting ratio of 0.97%. The volume resistivity, ability to suppress space-charge accumulation, and DC breakdown strength of modified PP were also studied. Modified PP with a grafting ratio of 0.88% showed optimal space-charge suppression and the highest volume resistivity and breakdown strength. The work will facilitate the design and development of more efficient insulation materials for HVDC cables.

摘要

由于缺乏交联,聚丙烯(PP)被认为是一种环保的交联聚乙烯替代品,可用于高压直流(HVDC)电缆绝缘。然而,纯PP在高压直流下会积累空间电荷,因此必须进行改性才能用作HVDC电缆的绝缘材料。在本研究中,采用水悬浮接枝法将4-甲基苯乙烯接枝到PP上以改善其性能。研究了溶胀时间、反应时间和4-甲基苯浓度对反应的影响。确定了最佳工艺条件,包括最佳接枝率为0.97%。还研究了改性PP的体积电阻率、抑制空间电荷积累的能力和直流击穿强度。接枝率为0.88%的改性PP表现出最佳的空间电荷抑制效果,以及最高的体积电阻率和击穿强度。这项工作将有助于设计和开发更高效的HVDC电缆绝缘材料。

https://cdn.ncbi.nlm.nih.gov/pmc/blobs/ae06/9504823/640979302456/materials-15-06298-g001.jpg

相似文献

1
Improved Insulation Properties of Polypropylenes in HVDC Cables Using Aqueous Suspension Grafting.
Materials (Basel). 2022 Sep 10;15(18):6298. doi: 10.3390/ma15186298.
2
Effect of Acetylated SEBS/PP for Potential HVDC Cable Insulation.
Materials (Basel). 2021 Mar 25;14(7):1596. doi: 10.3390/ma14071596.
3
Phase Field Modeling on By-Product Migration in Crosslinking Polymers for HVDC Cable Insulation Applications.
Front Chem. 2022 Apr 27;10:882347. doi: 10.3389/fchem.2022.882347. eCollection 2022.
5
Characterization of Polypropylene Modified by Blending Elastomer and Nano-Silica.
Materials (Basel). 2018 Jul 30;11(8):1321. doi: 10.3390/ma11081321.
7
Surface Layer Fluorination-Modulated Space Charge Behaviors in HVDC Cable Accessory.
Polymers (Basel). 2018 May 4;10(5):500. doi: 10.3390/polym10050500.
8
A Review of Polyolefin-Insulation Materials in High Voltage Transmission; From Electronic Structures to Final Products.
Adv Mater. 2024 Dec;36(52):e2401464. doi: 10.1002/adma.202401464. Epub 2024 Jul 1.

文献AI研究员

20分钟写一篇综述,助力文献阅读效率提升50倍。

立即体验

用中文搜PubMed

大模型驱动的PubMed中文搜索引擎

马上搜索

文档翻译

学术文献翻译模型,支持多种主流文档格式。

立即体验