Ema Toshinari, Kojima Hideaki, Mizuno Shinji, Hirai Tatsuo, Oka Mikako, Neyatani Hiroshi, Funai Kazuhito, Shiiya Norihiko
Department of Thoracic Surgery, Fujieda Municipal General Hospital, 4-1-11 Surugadai, Fujieda City, Shizuoka, 426-8677, Japan.
Department of Radiology, Heisei Memorial Medical Center, Shizuoka, Japan.
Eur J Hybrid Imaging. 2022 Sep 27;6(1):21. doi: 10.1186/s41824-022-00141-6.
Accurate staging of non-small cell lung cancer is key in treatment planning and prediction of prognosis. We investigated the correlation between the maximum standardized uptake value (SUVmax) retention index (RI) of the primary tumor and lymph node metastasis in non-small cell lung carcinoma. We also evaluated the tendencies according to the histological types.
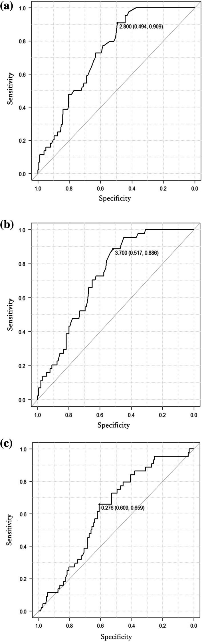
We retrospectively evaluated 218 non-small cell lung cancer (NSCLC) tumors from 217 patients who underwent preoperative fluorodeoxyglucose-positron emission tomography/computed tomography (PET/CT) followed by lung surgery and lymph node resection between July 2015 and August 2020. All primary tumors were calculated as the SUVmax at 50 min (SUVmax [SUVmax]) and 120 min (SUVmax [SUVmax]), and RI. The clinicopathological factors of interest were compared based on lymph node metastasis status and NSCLC histopathological subtype.
The median SUVmax and SUVmax of the primary tumors were 3.3 and 4.2, respectively, and the median RI was 0.25. The RI was significantly higher in the pN(+) (n = 44) group (0.30) compared to the pN0 (n = 174) group (0.24) (p = 0.01). In patients with adenocarcinoma (n = 145), the RI was also significantly higher in the pN(+) (n = 29) group (0.29) compared to the pN0 (n = 116) group (0.16) (p < 0.01). A high RI of the primary tumor was an independent risk factor for lymph node metastasis, particularly in patients with adenocarcinoma (odds ratio: 12.30, p < 0.05).
The RI of primary NSCLC tumors can help predict lymph node metastases, particularly in patients with adenocarcinoma.
非小细胞肺癌的准确分期是治疗规划和预后预测的关键。我们研究了非小细胞肺癌原发肿瘤的最大标准化摄取值(SUVmax)滞留指数(RI)与淋巴结转移之间的相关性。我们还根据组织学类型评估了相关趋势。
我们回顾性评估了2015年7月至2020年8月期间217例接受术前氟脱氧葡萄糖-正电子发射断层扫描/计算机断层扫描(PET/CT),随后进行肺手术和淋巴结切除的患者的218个非小细胞肺癌(NSCLC)肿瘤。所有原发肿瘤均计算50分钟时的SUVmax(SUVmax[50min])、120分钟时的SUVmax(SUVmax[120min])以及RI。根据淋巴结转移状态和NSCLC组织病理学亚型比较感兴趣的临床病理因素。
原发肿瘤的SUVmax[50min]和SUVmax[120min]中位数分别为3.3和4.2,RI中位数为0.25。与pN0(n = 174)组(0.24)相比,pN(+)(n = 44)组的RI显著更高(0.30)(p = 0.01)。在腺癌(n = 145)患者中,与pN0(n = 116)组(0.16)相比,pN(+)(n = 29)组的RI也显著更高(0.29)(p < 0.01)。原发肿瘤的高RI是淋巴结转移的独立危险因素,尤其是在腺癌患者中(优势比:12.30,p < 0.05)。
原发性NSCLC肿瘤的RI有助于预测淋巴结转移,尤其是在腺癌患者中。