Engineering Research Center of Molecular and Neuro Imaging, Ministry of Education, School of Life Science and Technology, Xidian University, Xi'an, 710071, People's Republic of China.
Xianyang Key Laboratory of Molecular Imaging and Drug Synthesis, School of Pharmacy, Shaanxi Institute of International Trade & Commerce, Xianyang, Shaanxi, 712046, People's Republic of China.
Int J Nanomedicine. 2022 Sep 24;17:4509-4523. doi: 10.2147/IJN.S381776. eCollection 2022.
Micro- and nano-sized plastics (MPs and NPs) have become an environmental issue of global concern due to their small size, strong bio-permeability and high specific surface area. However, few studies have assessed the effect of polystyrene MPs and NPs on human lung cells. In this research, we evaluated the cytotoxicity and genotoxicity of polystyrene (PS) MPs and NPs with different sizes (2 μm and 80 nm) and surface modification (carboxy and amino functionalized polystyrene, pristine polystyrene) in A549 cells.
The zeta potential and hydrodynamic particle size of five types of PS plastic solutions were measured by dynamic light scattering, and their morphology and degree of aggregation were observed by scanning electron microscopy. After incubation of the PS plastics with A549 cells, the uptake and toxicity of the cells were assessed by fluorescence microscopy, laser scanning confocal microscopy, flow cytometry, MTT, micronucleus formation assay, and reactive oxygen species.
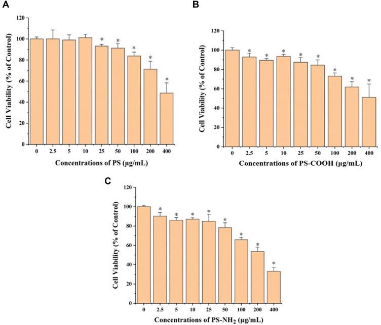
The cytotoxicity and genotoxicity of A549 cells caused by nano-level PS is more serious than that of micro-level. Compared with unmodified PS-NPs, more surface-functionalized PS-NPs were found inside the cells, especially the accumulation of PS-NH. Cell viability and the induction of micronuclei (MN) are appreciably impacted in a dose-dependent way. Compared with pristine PS-NPs, functionalized PS-NPs showed stronger cell viability inhibitory ability, and induced more MN scores.
This study shows that the intrinsic size properties and surface modification of PS plastics, the interaction between PS plastics and the receiving medium, intracellular accumulation are critical factors for evaluating the toxicological influences of PS plastics on humans.
由于微塑料和纳米塑料(MPs 和 NPs)体积小、生物渗透性强、比表面积大,已成为全球关注的环境问题。然而,很少有研究评估聚苯乙烯 MPs 和 NPs 对人体肺细胞的影响。在这项研究中,我们评估了不同尺寸(2μm 和 80nm)和表面修饰(羧基和氨基功能化聚苯乙烯、原始聚苯乙烯)的聚苯乙烯(PS) MPs 和 NPs 对 A549 细胞的细胞毒性和遗传毒性。
通过动态光散射测量五种 PS 塑料溶液的zeta 电位和水动力粒径,通过扫描电子显微镜观察其形态和聚集程度。PS 塑料与 A549 细胞孵育后,通过荧光显微镜、激光共聚焦显微镜、流式细胞术、MTT、微核形成试验和活性氧检测评估细胞摄取和毒性。
纳米级 PS 对 A549 细胞的细胞毒性和遗传毒性比微级更严重。与未修饰的 PS-NPs 相比,更多的表面功能化 PS-NPs 被发现存在于细胞内,特别是 PS-NH 的积累。细胞活力和微核(MN)的诱导呈剂量依赖性显著降低。与原始 PS-NPs 相比,功能化 PS-NPs 表现出更强的细胞活力抑制能力,并诱导更多的 MN 评分。
本研究表明 PS 塑料的固有尺寸特性和表面修饰、PS 塑料与接受介质的相互作用、细胞内积累是评估 PS 塑料对人类毒性影响的关键因素。