• 文献检索
  • 文档翻译
  • 深度研究
  • 学术资讯
  • Suppr Zotero 插件Zotero 插件
  • 邀请有礼
  • 套餐&价格
  • 历史记录
应用&插件
Suppr Zotero 插件Zotero 插件浏览器插件Mac 客户端Windows 客户端微信小程序
定价
高级版会员购买积分包购买API积分包
服务
文献检索文档翻译深度研究API 文档MCP 服务
关于我们
关于 Suppr公司介绍联系我们用户协议隐私条款
关注我们

Suppr 超能文献

核心技术专利:CN118964589B侵权必究
粤ICP备2023148730 号-1Suppr @ 2026

文献检索

告别复杂PubMed语法,用中文像聊天一样搜索,搜遍4000万医学文献。AI智能推荐,让科研检索更轻松。

立即免费搜索

文件翻译

保留排版,准确专业,支持PDF/Word/PPT等文件格式,支持 12+语言互译。

免费翻译文档

深度研究

AI帮你快速写综述,25分钟生成高质量综述,智能提取关键信息,辅助科研写作。

立即免费体验

肺部超声对当代心力衰竭风险评分的增量预后价值。

Incremental prognostic value of lung ultrasound on contemporary heart failure risk scores.

作者信息

Maestro-Benedicto Alba, Rivas-Lasarte Mercedes, Fernández-Martínez Juan, López-López Laura, Solé-González Eduard, Brossa Vicens, Mirabet Sonia, Roig Eulàlia, Cinca Juan, Álvarez-García Jesús, Sionis Alessandro

机构信息

Cardiology Department, IIB SANT PAU, Hospital de la Santa Creu i Sant Pau CIBERCV, Barcelona, Spain.

Cardiology Department, Hospital Universitario Puerta de Hierro CIBERCV, Majadahonda Madrid, Spain.

出版信息

Front Physiol. 2022 Sep 14;13:1006589. doi: 10.3389/fphys.2022.1006589. eCollection 2022.

DOI:10.3389/fphys.2022.1006589
PMID:36187763
原文链接:https://pmc.ncbi.nlm.nih.gov/articles/PMC9515571/
Abstract

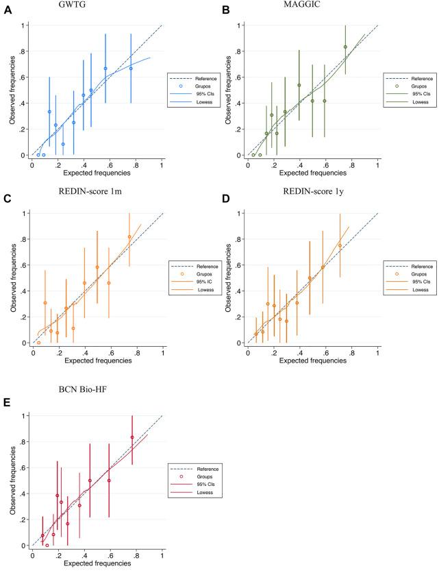
Over the last decades, several scores have been developed to aid clinicians in assessing prognosis in patients with heart failure (HF) based on clinical data, medications and, ultimately, biomarkers. Lung ultrasound (LUS) has emerged as a promising prognostic tool for patients when assessed at discharge after a HF hospitalization. We hypothesized that contemporary HF risk scores can be improved upon by the inclusion of the number of B-lines detected by LUS at discharge to predict death, urgent visit, or HF readmission at 6- month follow-up. We evaluated the discrimination improvement of adding the number of B-lines to 4 contemporary HF risk scores (Get with the Guidelines -GWTG-, MAGGIC, Redin-SCORE, and BCN Bio-HF) by comparing the change in the area under the receiver operating curve (AUC), the net reclassification index (NRI), and the integrated discrimination improvement (IDI). The population of the study was constituted by the 123 patients enrolled in the LUS-HF trial, adjusting the analyses by the intervention. The AUC of the GWTG score increased from 0.682 to 0.789 ( = 0.02), resulting in a NRI of 0.608 and an IDI of 0.136 ( < 0.05). Similar results were observed when adding the number of B-lines to the MAGGIC score, with an AUC that increased from 0.705 to 0.787 ( < 0.05). This increase translated into a NRI of 0.608 and an IDI of 0.038 ( < 0.05). Regarding Redin-SCORE at 1-month and 1-year, the AUC increased from 0.714 to 0.773 and from 0.681 to 0.757, although it did not reach statistical significance ( = 0.08 and = 0.06 respectively). Both IDI and NRI were significantly improved (0.093 and 0.509 in the 1-month score, < 0.05; 0.056 and 0.111 in the 1-year score, < 0.05). Lastly, the AUC for the BCN Bio-HF score increased from 0.733 to 0.772, which was statistically non-significant, with a NRI value of 0.363 ( = 0.06) and an IDI of 0.092 ( < 0.05). Adding the results of LUS evaluated at discharge improved the predictive value of most of the contemporary HF risk scores. As it is a simple, fast, and non-invasive test it may be recommended to assess prognosis at discharge in HF patients.

摘要

在过去几十年中,已经开发了多种评分系统,以帮助临床医生根据临床数据、药物治疗以及最终的生物标志物来评估心力衰竭(HF)患者的预后。肺超声(LUS)已成为HF住院患者出院时评估预后的一种有前景的工具。我们假设,通过纳入出院时LUS检测到的B线数量来预测6个月随访时的死亡、紧急就诊或HF再入院情况,可以改进当代HF风险评分。我们通过比较接受者操作特征曲线下面积(AUC)、净重新分类指数(NRI)和综合鉴别改善(IDI)的变化,评估了将B线数量添加到4种当代HF风险评分(遵循指南 -GWTG-、MAGGIC、Redin-SCORE和BCN Bio-HF)中的鉴别改善情况。该研究人群由123名参加LUS-HF试验的患者组成,并根据干预措施对分析进行调整。GWTG评分的AUC从0.682增加到0.789(P = 0.02),NRI为0.608,IDI为0.136(P < 0.05)。将B线数量添加到MAGGIC评分中也观察到了类似结果,AUC从0.705增加到0.787(P < 0.05)。这种增加转化为NRI为0.608,IDI为0.038(P < 0.05)。关于1个月和1年时的Redin-SCORE评分,AUC分别从0.714增加到0.773以及从0.681增加到0.757,尽管未达到统计学显著性(分别为P = 0.08和P = 0.06)。IDI和NRI均有显著改善(1个月评分时分别为0.093和0.509,P < 0.05;1年评分时分别为0.056和0.111,P < 0.05)。最后,BCN Bio-HF评分的AUC从0.733增加到0.772,无统计学显著性,NRI值为0.363(P = 0.06),IDI为0.092(P < 0.05)。添加出院时评估的LUS结果改善了大多数当代HF风险评分的预测价值。由于它是一种简单、快速且无创的检查,可能推荐用于评估HF患者出院时的预后。

https://cdn.ncbi.nlm.nih.gov/pmc/blobs/cea9/9515571/c8e1329281c8/fphys-13-1006589-g003.jpg
https://cdn.ncbi.nlm.nih.gov/pmc/blobs/cea9/9515571/ef295bca0a3c/fphys-13-1006589-g001.jpg
https://cdn.ncbi.nlm.nih.gov/pmc/blobs/cea9/9515571/7845aa8f3caf/fphys-13-1006589-g002.jpg
https://cdn.ncbi.nlm.nih.gov/pmc/blobs/cea9/9515571/c8e1329281c8/fphys-13-1006589-g003.jpg
https://cdn.ncbi.nlm.nih.gov/pmc/blobs/cea9/9515571/ef295bca0a3c/fphys-13-1006589-g001.jpg
https://cdn.ncbi.nlm.nih.gov/pmc/blobs/cea9/9515571/7845aa8f3caf/fphys-13-1006589-g002.jpg
https://cdn.ncbi.nlm.nih.gov/pmc/blobs/cea9/9515571/c8e1329281c8/fphys-13-1006589-g003.jpg

相似文献

1
Incremental prognostic value of lung ultrasound on contemporary heart failure risk scores.肺部超声对当代心力衰竭风险评分的增量预后价值。
Front Physiol. 2022 Sep 14;13:1006589. doi: 10.3389/fphys.2022.1006589. eCollection 2022.
2
Validation of the MAGGIC (Meta-Analysis Global Group in Chronic Heart Failure) heart failure risk score and the effect of adding natriuretic peptide for predicting mortality after discharge in hospitalized patients with heart failure.验证 MAGGIC(慢性心力衰竭全球荟萃分析协作组)心力衰竭风险评分以及添加利钠肽对住院心力衰竭患者出院后死亡率预测的影响。
PLoS One. 2018 Nov 28;13(11):e0206380. doi: 10.1371/journal.pone.0206380. eCollection 2018.
3
A 3-Biomarker 2-Point-Based Risk Stratification Strategy in Acute Heart Failure.急性心力衰竭中基于3种生物标志物和2个点的风险分层策略
Front Physiol. 2021 Oct 22;12:708890. doi: 10.3389/fphys.2021.708890. eCollection 2021.
4
Soluble ST2, BCN-Bio-HF calculator and MAGGIC-HF score in long-term risk prediction after an urgent visit for heart failure.可溶性ST2、BCN-Bio-HF计算器和MAGGIC-HF评分在心力衰竭急诊就诊后的长期风险预测中的应用
Heart Vessels. 2024 Mar;39(3):216-225. doi: 10.1007/s00380-023-02327-9. Epub 2023 Oct 23.
5
Performance of the heart failure risk scores in predicting 1 year mortality and short-term readmission of patients.心力衰竭风险评分在预测患者 1 年死亡率和短期再入院率方面的表现。
ESC Heart Fail. 2023 Feb;10(1):502-517. doi: 10.1002/ehf2.14208. Epub 2022 Nov 3.
6
Prognostic implication of lung ultrasound in heart failure: a pooled analysis of international cohorts.肺部超声对心力衰竭预后的影响:国际队列的汇总分析。
Eur Heart J Cardiovasc Imaging. 2024 Aug 26;25(9):1216-1225. doi: 10.1093/ehjci/jeae099.
7
The value of multiparametric prediction scores in heart failure varies with the type of follow-up after discharge: a comparative analysis.多参数预测评分在心力衰竭中的价值因出院后的随访类型而异:一项比较分析。
ESC Heart Fail. 2023 Aug;10(4):2550-2558. doi: 10.1002/ehf2.13949. Epub 2023 Jun 13.
8
Risk prediction for 30-day heart failure-specific readmission or death after discharge: Data from the Korean Acute Heart Failure (KorAHF) registry.出院后 30 天内心力衰竭特定再入院或死亡的风险预测:来自韩国急性心力衰竭(KorAHF)注册研究的数据。
J Cardiol. 2019 Feb;73(2):108-113. doi: 10.1016/j.jjcc.2018.07.009. Epub 2018 Oct 22.
9
Head-to-head comparison of contemporary heart failure risk scores.当代心力衰竭风险评分的头对头比较。
Eur J Heart Fail. 2021 Dec;23(12):2035-2044. doi: 10.1002/ejhf.2352. Epub 2021 Oct 1.
10
Dynamic changes and prognostic value of pulmonary congestion by lung ultrasound in acute and chronic heart failure: a systematic review.肺部超声评估急性和慢性心力衰竭患者肺淤血的动态变化及其预后价值的系统评价。
Eur J Heart Fail. 2017 Sep;19(9):1154-1163. doi: 10.1002/ejhf.839. Epub 2017 May 30.

引用本文的文献

1
Prognostic Significance of Lung Ultrasound for Heart Failure Patient Management in Primary Care: A Systematic Review.肺超声在基层医疗中对心力衰竭患者管理的预后意义:一项系统评价
J Clin Med. 2024 Apr 23;13(9):2460. doi: 10.3390/jcm13092460.
2
Predictors of heart failure readmission and all-cause mortality in patients with acute heart failure.急性心力衰竭患者心力衰竭再入院和全因死亡率的预测因素。
Int J Cardiol. 2024 Jul 1;406:132036. doi: 10.1016/j.ijcard.2024.132036. Epub 2024 Apr 8.

本文引用的文献

1
Prognostic Value and Therapeutic Utility of Lung Ultrasound in Acute and Chronic Heart Failure: A Meta-Analysis.肺超声在急慢性心力衰竭中的预后价值及治疗效用:一项荟萃分析
JACC Cardiovasc Imaging. 2022 May;15(5):950-952. doi: 10.1016/j.jcmg.2021.11.024. Epub 2022 Jan 12.
2
Head-to-head comparison of contemporary heart failure risk scores.当代心力衰竭风险评分的头对头比较。
Eur J Heart Fail. 2021 Dec;23(12):2035-2044. doi: 10.1002/ejhf.2352. Epub 2021 Oct 1.
3
Diagnostic and Prognostic Value of Lung Ultrasound B-Lines in Acute Heart Failure With Concomitant Pneumonia.
肺部超声B线在伴发肺炎的急性心力衰竭中的诊断和预后价值
Front Cardiovasc Med. 2021 Aug 19;8:693912. doi: 10.3389/fcvm.2021.693912. eCollection 2021.
4
Prognostic value of lung ultrasound in patients hospitalized for heart disease irrespective of symptoms and ejection fraction.肺部超声对住院心脏病患者(无论症状和射血分数如何)的预后价值。
ESC Heart Fail. 2021 Aug;8(4):2660-2669. doi: 10.1002/ehf2.13206. Epub 2021 May 1.
5
Lung ultrasound-guided management to reduce hospitalization in chronic heart failure: a systematic review and meta-analysis.肺超声引导下管理以减少慢性心力衰竭住院率:一项系统评价与荟萃分析。
Heart Fail Rev. 2022 May;27(3):821-826. doi: 10.1007/s10741-021-10085-x. Epub 2021 Apr 9.
6
Predicting the transition to and progression of heart failure with preserved ejection fraction: a weighted risk score using bio-humoural, cardiopulmonary, and echocardiographic stress testing.预测射血分数保留的心力衰竭的转变和进展:使用生物-体液、心肺和超声心动图应激试验的加权风险评分。
Eur J Prev Cardiol. 2021 Dec 29;28(15):1650-1661. doi: 10.1093/eurjpc/zwaa129.
7
Risk-Based Approach for the Prediction and Prevention of Heart Failure.基于风险的心力衰竭预测和预防方法。
Circ Heart Fail. 2021 Feb;14(2):e007761. doi: 10.1161/CIRCHEARTFAILURE.120.007761. Epub 2021 Feb 4.
8
Prognostic value of lung ultrasound in chronic stable ambulatory heart failure patients.肺部超声对慢性稳定型门诊心力衰竭患者的预后价值。
Rev Esp Cardiol (Engl Ed). 2021 Oct;74(10):862-869. doi: 10.1016/j.rec.2020.07.006. Epub 2020 Aug 26.
9
Association between right-sided cardiac function and ultrasound-based pulmonary congestion on acutely decompensated heart failure: findings from a pooled analysis of four cohort studies.右心功能与急性失代偿性心力衰竭超声肺充血的相关性:四项队列研究的汇总分析结果。
Clin Res Cardiol. 2021 Aug;110(8):1181-1192. doi: 10.1007/s00392-020-01724-8. Epub 2020 Aug 8.
10
A randomized controlled trial of lung ultrasound-guided therapy in heart failure (CLUSTER-HF study).一项针对心力衰竭的肺部超声引导治疗的随机对照试验(CLUSTER-HF 研究)。
Am Heart J. 2020 Sep;227:31-39. doi: 10.1016/j.ahj.2020.06.003. Epub 2020 Jun 15.