Suppr超能文献

化疗可引起B系急性淋巴细胞白血病患儿血浆抗氧化物质变化,且这些变化与疾病预后相关。

Chemotherapy induces plasmatic antioxidant changes in pediatric patients with acute lymphoid leukemia B that correlate to disease prognosis.

作者信息

Garbim Matheus Ricardo, Broto Geise Ellen, Trigo Fausto Celso, Victorino Vanessa Jacob, Oliveira Stefania Tagliari de, Barbosa Sabatini Décio, Panis Carolina

机构信息

Laboratory of Tumor Biology, State University of West Paraná, UNIOESTE, Francisco Beltrão, Paraná, Brazil.

State University of Londrina, Londrina-PR, Brazil.

出版信息

Curr Res Immunol. 2022 Sep 28;3:228-233. doi: 10.1016/j.crimmu.2022.09.001. eCollection 2022.

Abstract

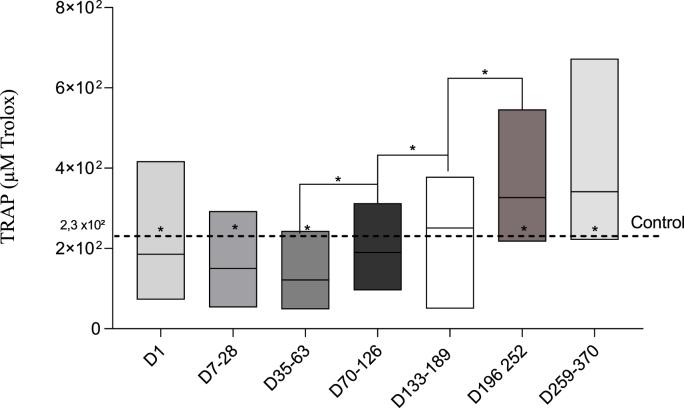
Pediatric acute lymphoid leukemias (ALL) is the most common childhood cancer, and cytotoxic chemotherapy remains the primary treatment option. Chemotherapic drugs act by oxidative stress generation, but their clinical meaning is poorly understood. During the chemotherapy schedule, this study evaluated the antioxidant profile of peripheral blood samples from 34 patients diagnosed with type B-cell ALL (B-ALL). Peripheral blood samples were collected at diagnosis (D0) and during the induction, consolidation, and maintenance phases. The plasma total antioxidant capacity (TRAP) was determined using the high-sensitivity chemiluminescence technique. Antioxidant levels were higher on D0 compared to day 7 after treatment starting (D7) in the induction phase (28.68-1194.71 μM Trolox, p = 0.0178) and in the high-risk group (age > ten years and/or with white blood cell counts and/or > 50,000 white blood cells/m3 at diagnosis) concerning low-risk patients (253.79-1194.71 μM Trolox, p = 0.0314). Reduced TRAP was also detected in patients who died compared to those who survived (392.42-1194.71 μM Trolox, p = 0.0278). Patients under consolidation (56.14-352.05 μM Trolox, p=<0.0001) and maintenance (30.48-672.99 μM Trolox, p=<0.0001) showed a significant reduction in TRAP levels compared to those from the induction phase (28.68-1390.26 μM Trolox), reaching levels similar to cured patients out of treatment (64.82-437.82 μM Trolox). These findings suggest that the variation of the total antioxidant capacity in B-ALL during chemotherapy is a parameter that correlates to some predictors of disease prognosis.

摘要

小儿急性淋巴细胞白血病(ALL)是最常见的儿童癌症,细胞毒性化疗仍然是主要的治疗选择。化疗药物通过产生氧化应激起作用,但其临床意义尚不清楚。在化疗期间,本研究评估了34例确诊为B细胞ALL(B-ALL)患者外周血样本的抗氧化谱。在诊断时(D0)以及诱导、巩固和维持阶段采集外周血样本。使用高灵敏度化学发光技术测定血浆总抗氧化能力(TRAP)。与治疗开始后第7天(D7)相比,诱导期(28.68 - 1194.71 μM Trolox,p = 0.0178)以及高危组(年龄>10岁和/或诊断时白细胞计数>50,000个白细胞/m³)相对于低危患者(253.79 - 1194.71 μM Trolox,p = 0.0314),D0时的抗氧化水平更高。与存活患者相比,死亡患者的TRAP也降低(392.42 - 1194.71 μM Trolox,p = 0.0278)。与诱导期(28.68 - 1390.26 μM Trolox)相比,巩固期(56.14 - 352.05 μM Trolox,p<0.0001)和维持期(30.48 - 672.99 μM Trolox,p<0.0001)的患者TRAP水平显著降低,达到与已治愈且停止治疗患者相似的水平(64.82 - 437.82 μM Trolox)。这些发现表明,化疗期间B-ALL患者总抗氧化能力的变化是一个与疾病预后的一些预测指标相关的参数。

https://cdn.ncbi.nlm.nih.gov/pmc/blobs/bed0/9523196/1a2d471138d2/ga1.jpg

文献AI研究员

20分钟写一篇综述,助力文献阅读效率提升50倍。

立即体验

用中文搜PubMed

大模型驱动的PubMed中文搜索引擎

马上搜索

文档翻译

学术文献翻译模型,支持多种主流文档格式。

立即体验