• 文献检索
  • 文档翻译
  • 深度研究
  • 学术资讯
  • Suppr Zotero 插件Zotero 插件
  • 邀请有礼
  • 套餐&价格
  • 历史记录
应用&插件
Suppr Zotero 插件Zotero 插件浏览器插件Mac 客户端Windows 客户端微信小程序
定价
高级版会员购买积分包购买API积分包
服务
文献检索文档翻译深度研究API 文档MCP 服务
关于我们
关于 Suppr公司介绍联系我们用户协议隐私条款
关注我们

Suppr 超能文献

核心技术专利:CN118964589B侵权必究
粤ICP备2023148730 号-1Suppr @ 2026

文献检索

告别复杂PubMed语法,用中文像聊天一样搜索,搜遍4000万医学文献。AI智能推荐,让科研检索更轻松。

立即免费搜索

文件翻译

保留排版,准确专业,支持PDF/Word/PPT等文件格式,支持 12+语言互译。

免费翻译文档

深度研究

AI帮你快速写综述,25分钟生成高质量综述,智能提取关键信息,辅助科研写作。

立即免费体验

基于适体的比色法检测DNA损伤标志物8-氧代脱氧鸟苷,使用半胱胺稳定的金纳米颗粒。

Aptamer-based colorimetric detection of the DNA damage marker 8-oxo-dG using cysteamine-stabilised gold nanoparticles.

作者信息

Sakonsinsiri Chadamas, Puangmali Theerapong, Sreejivungsa Kaniknun, Koowattanasuchat Sireemas, Thanan Raynoo, Chompoosor Apiwat, Kulchat Sirinan, Sithithaworn Paiboon

机构信息

Department of Biochemistry, Faculty of Medicine, Khon Kaen University Khon Kaen 40002 Thailand

Cholangiocarcinoma Research Institute, Khon Kaen University Khon Kaen 40002 Thailand.

出版信息

RSC Adv. 2022 Sep 7;12(39):25478-25486. doi: 10.1039/d2ra01858f. eCollection 2022 Sep 5.

DOI:10.1039/d2ra01858f
PMID:36199304
原文链接:https://pmc.ncbi.nlm.nih.gov/articles/PMC9450492/
Abstract

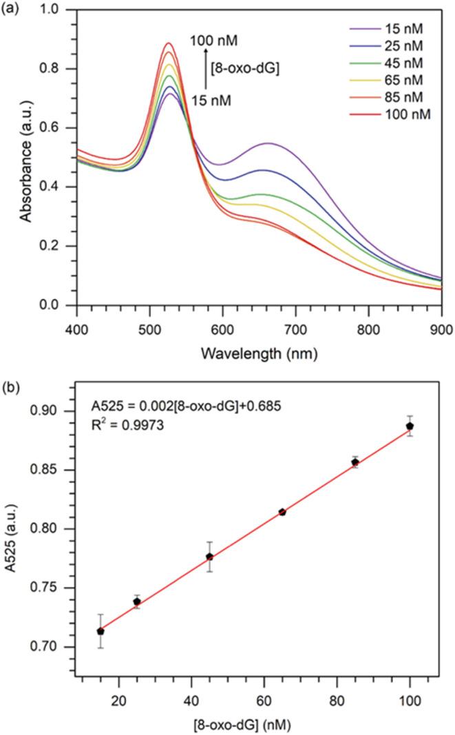
8-Oxo-7,8-dihydro-2'-deoxyguanosine (8-oxo-dG) is a crucial biomarker for oxidative DNA damage and carcinogenesis. Current strategies for 8-oxo-dG detection often require sophisticated instruments and qualified personnel. In this study, cysteamine-stabilised gold nanoparticles (cyst-AuNPs) were synthesised and used for colorimetric detection of 8-oxo-dG in urine. Sensing of 8-oxo-dG is based on the anti-aggregation of cyst-AuNPs, mediated by the specific recognition of 8-oxo-dG and its aptamer. In the absence of 8-oxo-dG, the aptamer was adsorbed onto the surface of cyst-AuNPs, resulting in aggregation and the development of a purple colour solution. Upon addition of the target molecule 8-oxo-dG, the aptamer specifically bound to it and could not induce the aggregation of cyst-AuNPs, leading to the dispersion of cyst-AuNPs in the solution. Simple visual examination could be used to monitor the purple-to-red colour change that started at 12 nM, a threshold concentration for visual analysis. The absorbance at 525 nm increased in direct relation to the number of the target molecule 8-oxo-dG. This aptamer/cyst-AuNPs system showed excellent sensing ability for the 8-oxo-dG concentration in the range of 15-100 nM, with a detection limit as low as 10.3 nM and a detection time of 30 min. Interference experiments showed that the developed colorimetric strategy had a good sensitivity. This simple and rapid colorimetric method has successfully been applied to inspect 8-oxo-dG concentration in real urine samples and provided recoveries between 93.6 and 94.1%, with a limit of quantification (LOQ) of 34.3 nM, which was comparable with an enzyme-linked immunosorbent-based detection of 8-oxo-dG. This new, easy-to-use, and rapid method could be used as an alternative and initiative strategy for the development of an on-site analysis of 8-oxo-dG in urine.

摘要

8-氧代-7,8-二氢-2'-脱氧鸟苷(8-氧代-dG)是氧化DNA损伤和致癌作用的关键生物标志物。当前检测8-氧代-dG的策略通常需要精密仪器和专业人员。在本研究中,合成了半胱胺稳定的金纳米颗粒(cyst-AuNPs)并用于尿液中8-氧代-dG的比色检测。8-氧代-dG的传感基于cyst-AuNPs的抗聚集作用,由8-氧代-dG及其适配体的特异性识别介导。在没有8-氧代-dG的情况下,适配体吸附在cyst-AuNPs表面,导致聚集并形成紫色溶液。加入目标分子8-氧代-dG后,适配体与之特异性结合,无法诱导cyst-AuNPs聚集,导致cyst-AuNPs在溶液中分散。简单的目视检查可用于监测从12 nM开始的紫到红的颜色变化,这是目视分析的阈值浓度。525 nm处的吸光度与目标分子8-氧代-dG的数量直接相关。该适配体/cyst-AuNPs系统对15 - 100 nM范围内的8-氧代-dG浓度显示出优异的传感能力,检测限低至10.3 nM,检测时间为30分钟。干扰实验表明,所开发的比色策略具有良好的灵敏度。这种简单快速的比色方法已成功应用于检测实际尿液样本中的8-氧代-dG浓度,回收率在93.6%至94.1%之间,定量限(LOQ)为34.3 nM,与基于酶联免疫吸附的8-氧代-dG检测相当。这种新型、易于使用且快速的方法可作为尿液中8-氧代-dG现场分析开发的替代和首创策略。

https://cdn.ncbi.nlm.nih.gov/pmc/blobs/6dc4/9450492/0f4dc1358e26/d2ra01858f-f5.jpg
https://cdn.ncbi.nlm.nih.gov/pmc/blobs/6dc4/9450492/6dd806de8efa/d2ra01858f-f1.jpg
https://cdn.ncbi.nlm.nih.gov/pmc/blobs/6dc4/9450492/67c8b9cdf1b3/d2ra01858f-f2.jpg
https://cdn.ncbi.nlm.nih.gov/pmc/blobs/6dc4/9450492/d403756323c9/d2ra01858f-f3.jpg
https://cdn.ncbi.nlm.nih.gov/pmc/blobs/6dc4/9450492/c7c7e05cd5e6/d2ra01858f-f4.jpg
https://cdn.ncbi.nlm.nih.gov/pmc/blobs/6dc4/9450492/0f4dc1358e26/d2ra01858f-f5.jpg
https://cdn.ncbi.nlm.nih.gov/pmc/blobs/6dc4/9450492/6dd806de8efa/d2ra01858f-f1.jpg
https://cdn.ncbi.nlm.nih.gov/pmc/blobs/6dc4/9450492/67c8b9cdf1b3/d2ra01858f-f2.jpg
https://cdn.ncbi.nlm.nih.gov/pmc/blobs/6dc4/9450492/d403756323c9/d2ra01858f-f3.jpg
https://cdn.ncbi.nlm.nih.gov/pmc/blobs/6dc4/9450492/c7c7e05cd5e6/d2ra01858f-f4.jpg
https://cdn.ncbi.nlm.nih.gov/pmc/blobs/6dc4/9450492/0f4dc1358e26/d2ra01858f-f5.jpg

相似文献

1
Aptamer-based colorimetric detection of the DNA damage marker 8-oxo-dG using cysteamine-stabilised gold nanoparticles.基于适体的比色法检测DNA损伤标志物8-氧代脱氧鸟苷,使用半胱胺稳定的金纳米颗粒。
RSC Adv. 2022 Sep 7;12(39):25478-25486. doi: 10.1039/d2ra01858f. eCollection 2022 Sep 5.
2
Designing an Aptasensor Based on Cysteamine-Capped AuNPs for 8-Oxo-dG Detection: A Molecular Dynamics Approach and Experimental Validation.基于半胱胺修饰的金纳米粒子的 8-氧代鸟嘌呤 DNA 适配体传感器的设计:分子动力学方法与实验验证。
J Phys Chem B. 2019 Feb 7;123(5):1129-1138. doi: 10.1021/acs.jpcb.8b10436. Epub 2019 Jan 25.
3
Development of Low-Cost AuNP-Based Aptasensors with Truncated Aptamer for Highly Sensitive Detection of 8-Oxo-dG in Urine.基于截短适体的低成本金纳米颗粒适体传感器的研制,用于尿液中8-氧代脱氧鸟苷的高灵敏检测。
ACS Omega. 2020 Jul 8;5(28):17423-17430. doi: 10.1021/acsomega.0c01834. eCollection 2020 Jul 21.
4
Combined and study of an aptasensor based on citrate-capped AuNPs for naked-eye detection of a critical biomarker of oxidative stress.基于柠檬酸盐包覆金纳米粒子的适体传感器用于裸眼检测氧化应激关键生物标志物的联合研究。
RSC Adv. 2019 Jun 4;9(31):17592-17600. doi: 10.1039/c9ra01497g.
5
Target-induced gold nanoparticles colorimetric sensing coupled with aptamer for rapid and high-sensitivity detecting kanamycin.基于靶标诱导金纳米粒子比色传感与适体用于快速高灵敏度检测卡那霉素
Anal Chim Acta. 2022 Oct 16;1230:340377. doi: 10.1016/j.aca.2022.340377. Epub 2022 Sep 15.
6
A Simple and Ultrasensitive Colorimetric Biosensor for Anatoxin-a Based on Aptamer and Gold Nanoparticles.一种基于适体和金纳米粒子的简单超灵敏比色生物传感器用于检测类毒素-a
Micromachines (Basel). 2021 Dec 8;12(12):1526. doi: 10.3390/mi12121526.
7
Highly Sensitive Aptamer-Based Colorimetric Detection of Melamine in Raw Milk with Cysteamine-Stabilized Gold Nanoparticles.基于高灵敏度适配体并利用半胱胺稳定的金纳米颗粒对生乳中三聚氰胺进行比色检测
J Nanosci Nanotechnol. 2017 Feb;17(2):853-61. doi: 10.1166/jnn.2017.12722.
8
A simple and sensitive AuNPs-based colorimetric aptasensor for specific detection of azlocillin.一种简单灵敏的基于金纳米粒子的比色适体传感器,用于特异性检测氨芐西林。
Spectrochim Acta A Mol Biomol Spectrosc. 2022 Apr 15;271:120924. doi: 10.1016/j.saa.2022.120924. Epub 2022 Jan 20.
9
[Simultaneous and rapid determination of malachite green and leucomalachite green by a label-free colorimetric aptasensor].[基于无标记比色适体传感器同时快速测定孔雀石绿和隐色孔雀石绿]
Se Pu. 2020 Nov 8;38(11):1332-1339. doi: 10.3724/SP.J.1123.2020.04010.
10
A new 8-oxo-7,8-2'deoxyguanosine nanoporous anodic alumina aptasensor for colorectal cancer diagnosis in blood and urine.一种用于血液和尿液中结直肠癌诊断的新型 8-氧代-7,8-2'-脱氧鸟苷纳米多孔阳极氧化铝适体传感器。
Nanoscale. 2021 May 13;13(18):8648-8657. doi: 10.1039/d0nr07948k.

引用本文的文献

1
8-OxodG: A Potential Biomarker for Chronic Oxidative Stress Induced by High-LET Radiation.8-氧代鸟嘌呤:一种由高传能线密度辐射诱导的慢性氧化应激的潜在生物标志物。
DNA (Basel). 2024 Sep;4(3):221-238. doi: 10.3390/dna4030015. Epub 2024 Aug 1.
2
Applications of Nanoporous Gold in Therapy, Drug Delivery, and Diagnostics.纳米多孔金在治疗、药物递送和诊断中的应用。
Metals (Basel). 2023 Jan;13(1). doi: 10.3390/met13010078. Epub 2022 Dec 28.

本文引用的文献

1
Development of Low-Cost AuNP-Based Aptasensors with Truncated Aptamer for Highly Sensitive Detection of 8-Oxo-dG in Urine.基于截短适体的低成本金纳米颗粒适体传感器的研制,用于尿液中8-氧代脱氧鸟苷的高灵敏检测。
ACS Omega. 2020 Jul 8;5(28):17423-17430. doi: 10.1021/acsomega.0c01834. eCollection 2020 Jul 21.
2
Development of a solid-phase microextraction LC-MS/MS method for determination of oxidative stress biomarkers in biofluids.建立一种固相微萃取 LC-MS/MS 法用于测定生物流体中的氧化应激生物标志物。
J Sep Sci. 2020 May;43(9-10):1925-1933. doi: 10.1002/jssc.202000211. Epub 2020 Apr 3.
3
Improving the fluorometric determination of the cancer biomarker 8-hydroxy-2'-deoxyguanosine by using a 3D DNA nanomachine.
利用三维 DNA 纳米机器提高癌症生物标志物 8-羟基-2'-脱氧鸟苷的荧光测定。
Mikrochim Acta. 2018 Oct 3;185(10):494. doi: 10.1007/s00604-018-3036-7.
4
Insight into the Molecular Mechanisms of AuNP-Based Aptasensor for Colorimetric Detection: A Molecular Dynamics Approach.基于金纳米颗粒适体传感器的比色检测的分子机制研究:分子动力学方法。
Langmuir. 2018 May 29;34(21):6161-6169. doi: 10.1021/acs.langmuir.8b00701. Epub 2018 May 16.
5
Luminescent Device for the Detection of Oxidative Stress Biomarkers in Artificial Urine.用于检测人工尿液中氧化应激生物标志物的发光装置。
ACS Appl Mater Interfaces. 2018 Mar 7;10(9):7730-7736. doi: 10.1021/acsami.7b17252. Epub 2018 Feb 26.
6
Paper-Based Sensing Device for Electrochemical Detection of Oxidative Stress Biomarker 8-Hydroxy-2'-deoxyguanosine (8-OHdG) in Point-of-Care.基于纸的传感设备用于即时检测氧化应激生物标志物 8-羟基-2'-脱氧鸟苷(8-OHdG)的电化学检测。
Sci Rep. 2017 Nov 6;7(1):14558. doi: 10.1038/s41598-017-14878-9.
7
Association between Oxidative DNA Damage and Risk of Colorectal Cancer: Sensitive Determination of Urinary 8-Hydroxy-2'-deoxyguanosine by UPLC-MS/MS Analysis.氧化 DNA 损伤与结直肠癌风险的关联:UPLC-MS/MS 分析灵敏测定尿 8-羟基-2'-脱氧鸟苷。
Sci Rep. 2016 Sep 2;6:32581. doi: 10.1038/srep32581.
8
Relationship Between Urinary 8-hydroxydeoxyguanine (8-OHdG) Levels and Clinicopathological Findings in Hepatobiliary Malignancies.肝胆恶性肿瘤患者尿8-羟基脱氧鸟苷(8-OHdG)水平与临床病理特征的关系
Anticancer Res. 2016 Aug;36(8):3899-903.
9
8-hydroxy-2'-deoxyguanosine (8-OHdG) biomarker detection down to picoMolar level on a plastic antibody film.在塑料抗体膜上实现 8-羟基-2'-脱氧鸟苷(8-OHdG)生物标志物检测,灵敏度达到皮摩尔级别。
Biosens Bioelectron. 2016 Dec 15;86:225-234. doi: 10.1016/j.bios.2016.06.052. Epub 2016 Jun 18.
10
Chiroplasmonic Assemblies of Gold Nanoparticles for Ultrasensitive Detection of 8-Hydroxy-2'-deoxyguanosine in Human Serum Sample.手性等离子体组装金纳米粒子用于人血清样品中 8-羟基-2'-脱氧鸟苷的超灵敏检测。
Anal Chem. 2016 Jun 21;88(12):6509-14. doi: 10.1021/acs.analchem.6b01258. Epub 2016 Jun 2.