Suppr超能文献

混合坚果、认知功能与肠道微生物群:一项健康非老年成年人中进行的为期 4 周、安慰剂对照、随机交叉试验。

Mixed Tree Nuts, Cognition, and Gut Microbiota: A 4-Week, Placebo-Controlled, Randomized Crossover Trial in Healthy Nonelderly Adults.

机构信息

Department of Psychology, Northumbria University, Newcastle upon Tyne, United Kingdom.

Brain, Performance and Nutrition Research Centre, Northumbria University, Newcastle upon Tyne, United Kingdom.

出版信息

J Nutr. 2023 Jan 14;152(12):2778-2788. doi: 10.1093/jn/nxac228.

Abstract

BACKGROUND

Beneficial effects of nut supplementation on cognitive function have previously been demonstrated in young and older adults. Alterations to gut microbiota have also been shown following tree nut consumption. However, no data exists on the effects of nuts on cognition and intestinal microbial communities assessed within the same study.

OBJECTIVES

The study aimed to examine the effects of daily consumption of tree nuts for 4 wk on cognitive function (primary outcome), mood, metabolomics, and gut microbial species (secondary outcomes) in healthy, nonelderly adults.

METHODS

This randomized, placebo-controlled, double-blind, counterbalanced crossover study assessed the effects of 4 wk of supplementation with 30 g/d mixed tree nuts versus placebo on cognition and mood in 79 healthy adults aged 18-49 y. Metabolic responses, gut bacterial community structure, and the potential for these to impact cognition were explored using a multi-omic approach. Bacterial community analysis was conducted in Quantitative Insights Into Microbial Ecology 2 (QIIME2).

RESULTS

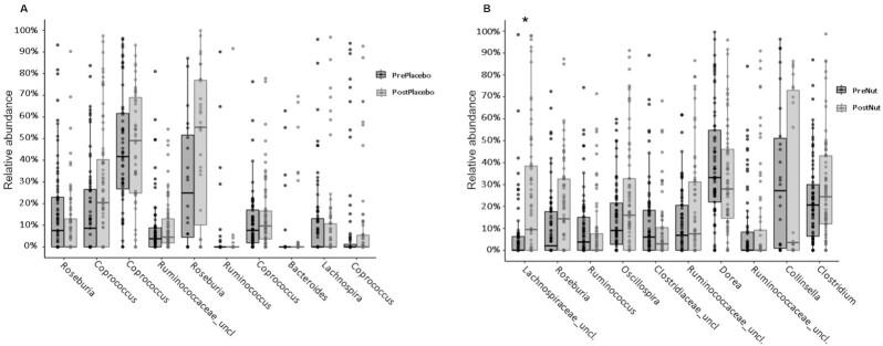
Mixed model analysis indicated that nut consumption led to significant improvements to accuracy (placebo M = 92.2% compared with NUTS M = 94.5%; P = 0.019) and speed of response (placebo M = 788 ms compared with NUTS M = 757 ms; P = 0.004) on a picture recognition task. No significant changes to bacterial community α or β diversity were observed when comparing nut consumption to the placebo arm. However, an unclassified Lachnospiraceae amplicon sequence variant (ASV) was significantly enriched in participants when supplemented with nuts (P = 0.015). No correlations were observed between the changes to picture recognition and the changes to the unclassified Lachnospiraceae ASV. There were no significant changes to the urinary metabolome.

CONCLUSIONS

These findings indicate a positive effect of nut on cognition following only 4 wk of consumption in a healthy nonelderly sample, as well as upregulation of a microbial taxa associated with gut health. The effects appear to be independent of one another, but further exploration is required in those experiencing cognitive decline and/or gut dysbiosis.

摘要

背景

先前的研究表明,坚果补充剂对年轻和老年成年人的认知功能有益。食用坚果树坚果后,肠道微生物群也发生了改变。然而,尚无关于坚果对认知功能和肠道微生物群落影响的研究。

目的

本研究旨在评估健康的非老年成年人连续 4 周每天食用树坚果对认知功能(主要结果)、情绪、代谢组学和肠道微生物种类(次要结果)的影响。

方法

这是一项随机、安慰剂对照、双盲、交叉对照研究,评估了 4 周内每天补充 30 克混合树坚果与安慰剂对 79 名 18-49 岁健康成年人认知功能和情绪的影响。使用多组学方法探索代谢反应、肠道细菌群落结构及其对认知功能的潜在影响。细菌群落分析在定量微生物生态系统分析 2(QIIME2)中进行。

结果

混合模型分析表明,与安慰剂组相比,坚果组在图片识别任务中的准确性(安慰剂组 M = 92.2%,坚果组 M = 94.5%;P = 0.019)和反应速度(安慰剂组 M = 788 ms,坚果组 M = 757 ms;P = 0.004)显著提高。与安慰剂组相比,比较坚果摄入与安慰剂组时,未观察到细菌群落α或β多样性的显著变化。然而,当参与者补充坚果时,一种未分类的lachnospiraceae 扩增子序列变体(ASV)显著富集(P = 0.015)。未观察到图片识别的变化与未分类lachnospiraceae ASV 的变化之间存在相关性。尿代谢组无明显变化。

结论

这些发现表明,在健康的非老年人群中,仅连续 4 周食用坚果就会对认知产生积极影响,同时与肠道健康相关的微生物分类群也得到了上调。这些影响似乎是相互独立的,但在认知能力下降和/或肠道菌群失调的人群中需要进一步探索。

https://cdn.ncbi.nlm.nih.gov/pmc/blobs/b388/9840001/1a7a09451466/nxac228fig1.jpg

文献检索

告别复杂PubMed语法,用中文像聊天一样搜索,搜遍4000万医学文献。AI智能推荐,让科研检索更轻松。

立即免费搜索

文件翻译

保留排版,准确专业,支持PDF/Word/PPT等文件格式,支持 12+语言互译。

免费翻译文档

深度研究

AI帮你快速写综述,25分钟生成高质量综述,智能提取关键信息,辅助科研写作。

立即免费体验