Suppr超能文献

评估一种快速简易的临床决策算法(“路径”)对 COVID-19 住院患者接受抗凝治疗的临床结局的影响。

Evaluation of a fast-and-frugal clinical decision algorithm ('pathways') on clinical outcomes in hospitalised patients with COVID-19 treated with anticoagulants.

机构信息

Department of Computational & Quantitative Medicine, City of Hope, Beckman Research Institute, Duarte, California, USA.

Division of Health Analytics, Beckman Research Institute, Duarte, California, USA.

出版信息

J Eval Clin Pract. 2023 Feb;29(1):3-12. doi: 10.1111/jep.13780. Epub 2022 Oct 13.

Abstract

RATIONALE, AIMS AND OBJECTIVES: Critics have charged that evidence-based medicine (EBM) overemphasises algorithmic rules over unstructured clinical experience and intuition, but the role of structured decision support systems in improving health outcomes remains uncertain. We aim to assess if delivery of anticoagulant prophylaxis in hospitalised patients with COVID-19 according to an algorithm based on evidence-based clinical practice guideline (CPG) improved clinical outcomes compared with administration of anticoagulant treatment given at individual practitioners' discretion.

METHODS

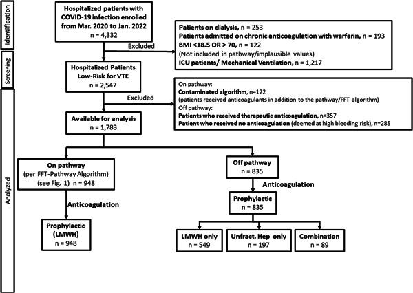
An observational design consisting of the analysis of all acutely ill, consecutive patients (n = 1783) with confirmed COVID-19 diagnosis admitted between 10 March 2020 to 11 January 2022 to an US academic center. American Society of Haematology CPG for anticoagulant prophylaxis in hospitalised patients with COVID-19 was converted into a clinical pathway and translated into fast-and-frugal decision (FFT) tree ('algorithm'). We compared delivery of anticoagulant prophylaxis in hospitalised patients with COVID-19 according to the FFT algorithm with administration of anticoagulant treatment given at individual practitioners' discretion.

RESULTS

In an adjusted analysis, using combination of Lasso (least absolute shrinkage and selection operator) and propensity score based weighting [augmented inverse-probability weighting] statistical techniques controlling for cluster data, the algorithm did not reduce death, venous thromboembolism, or major bleeding, but helped avoid longer hospital stay [number of patients needed to be treated (NNT) = 40 (95% CI: 23-143), indicating that for every 40 patients (23-143) managed on FFT algorithm, one avoided staying in hospital longer than 10 days] and averted admission to intensive-care unit (ICU) [NNT = 19 (95% CI: 13-40)]. All model's selected covariates were well balanced. The results remained robust to sensitivity analyses used to test the stability of the findings.

CONCLUSIONS

When delivered using a structured FFT algorithm, CPG shortened the hospital stay and help avoided admission to ICU, but it did not affect other relevant outcomes.

摘要

背景、目的和目标:批评者指责循证医学(EBM)过于强调算法规则而忽视非结构化的临床经验和直觉,但结构化决策支持系统在改善健康结果方面的作用仍不确定。我们旨在评估根据循证临床实践指南(CPG)制定的算法为住院 COVID-19 患者提供抗凝预防治疗是否优于根据个别医生的判断给予抗凝治疗,以改善临床结局。

方法

采用观察性设计,对 2020 年 3 月 10 日至 2022 年 1 月 11 日期间入住美国学术中心的所有确诊 COVID-19 的急性病连续患者(n=1783)进行分析。美国血液学学会 COVID-19 住院患者抗凝预防 CPG 转化为临床路径,并转化为快速和简单决策(FFT)树(“算法”)。我们比较了根据 FFT 算法为 COVID-19 住院患者提供的抗凝预防治疗与根据个别医生的判断给予的抗凝治疗。

结果

在调整后的分析中,采用套索(最小绝对收缩和选择算子)和基于倾向评分的加权[增强逆概率加权]统计技术控制聚类数据,该算法并未降低死亡率、静脉血栓栓塞或大出血,但有助于缩短住院时间[需要治疗的患者数量(NNT)=40(95%CI:23-143),这意味着每 40 名患者(23-143)接受 FFT 算法治疗,就有 1 名患者避免住院时间超过 10 天]和避免入住重症监护病房(ICU)[NNT=19(95%CI:13-40)]。所有模型选择的协变量均得到很好的平衡。结果在用于测试研究结果稳定性的敏感性分析中仍然稳健。

结论

使用结构化 FFT 算法提供时,CPG 缩短了住院时间,并有助于避免入住 ICU,但它没有影响其他相关结局。

https://cdn.ncbi.nlm.nih.gov/pmc/blobs/daac/9874903/8466bd06b921/JEP-29--g002.jpg

文献AI研究员

20分钟写一篇综述,助力文献阅读效率提升50倍。

立即体验

用中文搜PubMed

大模型驱动的PubMed中文搜索引擎

马上搜索

文档翻译

学术文献翻译模型,支持多种主流文档格式。

立即体验