Suppr超能文献

口罩对老年社区居住成年人 30 分钟自主运动期间生理和感知反应的影响。

Effect of Face Masks on Physiological and Perceptual Responses during 30 Minutes of Self-Paced Exercise in Older Community Dwelling Adults.

机构信息

Department of Exercise and Sport Science, University of Wisconsin-La Crosse, La Crosse, WI 54601, USA.

Sports Medicine, Mayo Clinic Health System, Onalaska, WI 54650, USA.

出版信息

Int J Environ Res Public Health. 2022 Oct 8;19(19):12877. doi: 10.3390/ijerph191912877.

Abstract

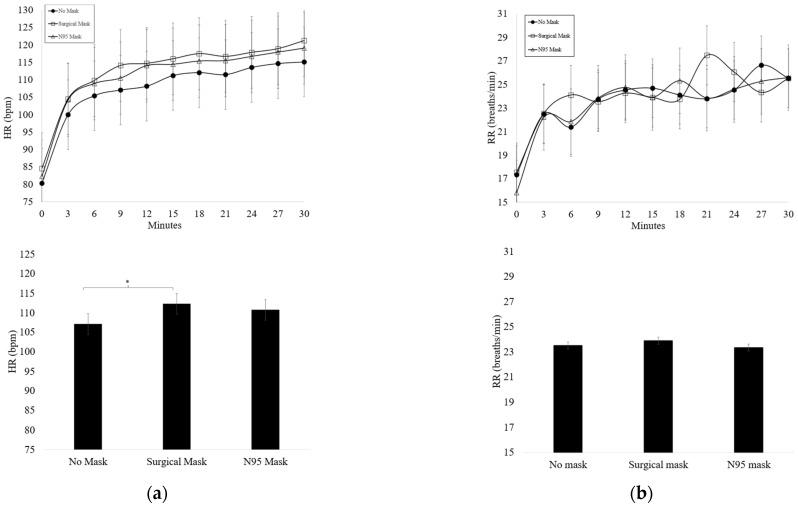
This study examined the effects of different types of masks (no mask, surgical mask (SM), and N95-mask) on physiological and perceptual responses during 30-min of self-paced cycle ergometer exercise. This study was a prospective randomly assigned experimental design. Outcomes included workload (Watts), oxygen saturation (SpO), end-tidal carbon dioxide (PetCO), heart rate (HR), respiratory rate (RR), rating of perceived exertion (RPE), and rating of perceived dyspnea (RPD). Volunteers (54-83 years ( = 19)) completed two familiarization sessions and three testing sessions on an air braked cycle ergometer. No significant difference was found for condition x time for any of the dependent variables. RPE, RPD, and PetCO were significantly higher with an N95-mask vs. no mask (NM) (( = 0.012), ( = 0.002), ( < 0.001)). HR was significantly higher with the SM compared to the NM condition ( = 0.027) (NM 107.18 ± 9.96) (SM 112.34 ± 10.28), but no significant difference was found when comparing the SM to the N95 condition or when comparing the N95condition to the NM condition. Watts increased across time in each condition ( = 0.003). Initially RR increased during the first 3 min of exercise ( < 0.001) with an overall gradual increase noted across time regardless of mask condition ( < 0.001). SpO significantly decreased across time but remained within normal limits (>95%). No significant difference was found in Watts, RR, or SpO regardless of mask condition. Overall, the N95mask was associated with increased RPE, RPD, and PetCO levels. This suggests trapping of CO inside the mask leading to increased RPE and RPD.

摘要

本研究旨在探讨不同类型口罩(无口罩、外科口罩(SM)和 N95 口罩)在 30 分钟自主调节功率自行车运动期间对生理和感知反应的影响。这是一项前瞻性随机分配实验设计。结果包括工作量(瓦特)、血氧饱和度(SpO)、呼气末二氧化碳(PetCO)、心率(HR)、呼吸频率(RR)、感知用力程度(RPE)和感知呼吸困难程度(RPD)。志愿者(54-83 岁,n=19)在空气制动功率自行车上完成了两次预适应测试和三次测试。在任何依赖变量中,条件与时间之间均未发现显著差异。与无口罩(NM)相比,N95 口罩条件下 RPE、RPD 和 PetCO 显著升高(p=0.012,p=0.002,p<0.001)。与 NM 相比,SM 条件下 HR 显著升高(p=0.027)(NM:107.18±9.96;SM:112.34±10.28),但在 SM 与 N95 条件之间或 N95 与 NM 条件之间比较时,未发现差异。在每种条件下,瓦特随时间逐渐增加(p=0.003)。RR 在运动的前 3 分钟内最初增加(p<0.001),无论口罩条件如何,RR 随时间的总体逐渐增加(p<0.001)。SpO 随时间逐渐降低,但仍在正常范围内(>95%)。无论口罩条件如何,瓦特、RR 或 SpO 均无显著差异。总的来说,N95 口罩与 RPE、RPD 和 PetCO 水平升高相关。这表明 CO 被困在口罩内,导致 RPE 和 RPD 升高。

https://cdn.ncbi.nlm.nih.gov/pmc/blobs/2fca/9564912/119128e3aaf6/ijerph-19-12877-g001.jpg

文献检索

告别复杂PubMed语法,用中文像聊天一样搜索,搜遍4000万医学文献。AI智能推荐,让科研检索更轻松。

立即免费搜索

文件翻译

保留排版,准确专业,支持PDF/Word/PPT等文件格式,支持 12+语言互译。

免费翻译文档

深度研究

AI帮你快速写综述,25分钟生成高质量综述,智能提取关键信息,辅助科研写作。

立即免费体验