Daryakar Navid, David Christin
Institute of Condensed Matter Theory and Optics, Friedrich-Schiller-Universität Jena, Max-Wien-Platz 1, 07743 Jena, Germany.
Abbe Center of Photonics, Albert-Einstein-Straße 6, 07745 Jena, Germany.
Nanomaterials (Basel). 2022 Sep 27;12(19):3359. doi: 10.3390/nano12193359.
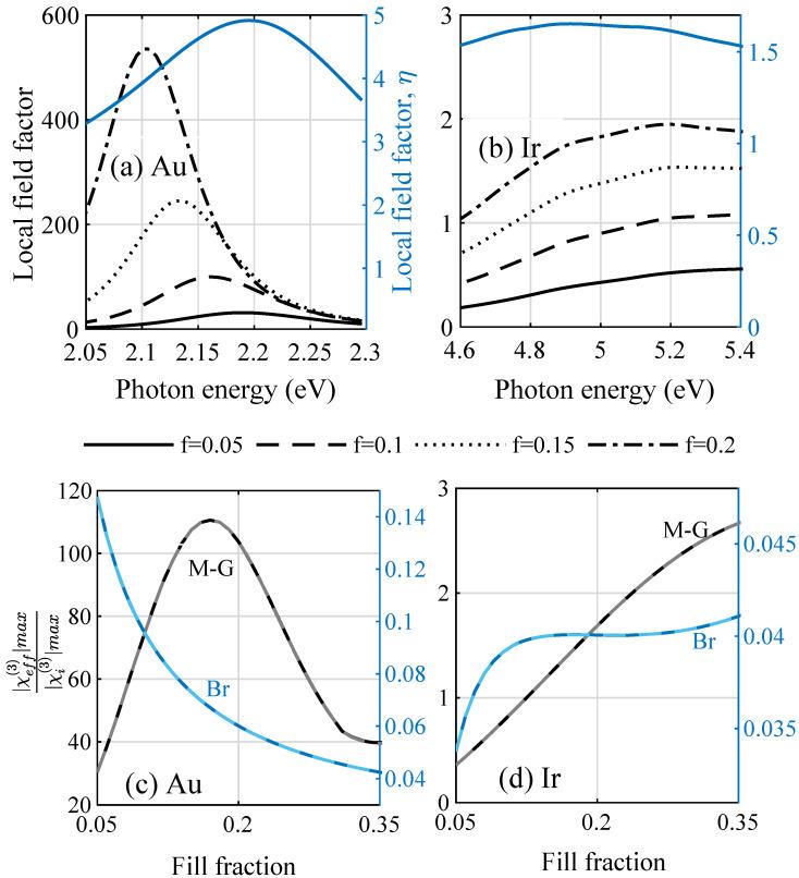
We studied the nonlinear optical response of metallic amorphous composite layers in terms of a self-phase-modulated, third-order Kerr nonlinearity. A nonlinear effective medium theory was used to describe low densities of gold and iridium nanoparticles embedded in an equally nonlinear host material. The fill fraction strongly influences the effective nonlinear susceptibility of the materials, increasing it by orders of magnitude in the case of gold due to localized surface plasmonic resonances. The enhancement of the nonlinear strength in amorphous composites with respect to the bulk material has an upper limit in metallic composites as dominating absorption effects take over at higher fill factors. Both saturated and induced absorption in the thin films of amorphous composites were observed depending on the selected frequency and relative position to the resonant frequency of electron excitation in the metallic inclusions. We demonstrated the depths to which thin films are affected by nonlinear enhancement effects.
我们从自相位调制的三阶克尔非线性角度研究了金属非晶复合层的非线性光学响应。采用非线性有效介质理论来描述嵌入同样具有非线性的主体材料中的低密度金和铱纳米颗粒。填充率强烈影响材料的有效非线性极化率,对于金而言,由于局域表面等离子体共振,填充率可使其有效非线性极化率提高几个数量级。在金属复合材料中,与块状材料相比,非晶复合材料非线性强度的增强存在上限,因为在较高填充因子下,主导的吸收效应会占上风。根据所选频率以及相对于金属夹杂物中电子激发共振频率的相对位置,在非晶复合材料薄膜中观察到了饱和吸收和诱导吸收。我们证明了薄膜受非线性增强效应影响的深度。