Suppr超能文献

植物酶活性的修复:茶渣作为改良剂提高污染土壤中生长效率。

The Remediation in Enzyme's Activities in Plants: Tea Waste as a Modifier to Improve the Efficiency of Growth of in Contaminated Soil.

机构信息

Department of Botany, Federal Urdu University of Arts, Sciences & Technology, Karachi 75300, Pakistan.

Department of Chemistry, University of Karachi, Karachi 75270, Pakistan.

出版信息

Molecules. 2022 Sep 27;27(19):6362. doi: 10.3390/molecules27196362.

Abstract

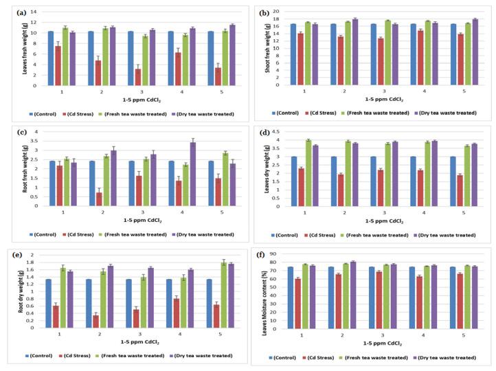
The remediation in plant enzymatic activities in Cd-contaminated soil was monitored through tea waste. Tea is an extensively used beverage worldwide with the release of a high quantity of tea waste utilized in the growing condition of on Cd metal contaminated soil. The study was a plan for the natural environmental condition in the greenhouse. For this purpose, four sets of plants were cultivated in triplicate and marked as (i) control, (ii) Cd stress plants, (iii) dry tea waste and Cd stress, and (iv) fresh tea waste and Cd stress. The improved efficiency of biochemical reactions in plants under Cd stress with tea waste treatment was the consequence of blocking Cd movement in the soil through adsorption on tea waste, showing that the tea waste effectively controls the mobility of Cd from the soil to the roots of the plants. Scan electron microscopy (SEM) validates the recovery of the leaves of the plants. The remediation of plant growth and enzyme activities such as amylase, peroxidase, nitrate reductase (NR), and nitrite reductase (NiR) under Cd metal-contaminated soil through tea waste was investigated. The source of tea waste in contaminated soil resulted in the recovery of the photosynthetic process and an improvement in amylase, NR, NiR, and peroxidase activities, thereby resulting in the recovery of pigments coupled with an increase in the biomass of the plants. It was suggested that tea waste acts as a good biosorbent of Cd and energy provider to the plants for normal enzyme activity under Cd stress and may be used by farmers in the future for safe and healthy crops as a cost-effective technology.

摘要

利用茶废弃物来监测受镉污染土壤中植物酶活性的修复情况。茶是一种在全球广泛使用的饮料,在镉金属污染土壤的生长条件下,会释放出大量的茶废弃物加以利用。本研究是在温室的自然环境条件下进行的。为此,将四组植物进行了三组培养,并分别标记为(i)对照、(ii)镉胁迫植物、(iii)干茶废弃物和镉胁迫、以及(iv)新鲜茶废弃物和镉胁迫。在茶废弃物处理下,受镉胁迫的植物中生化反应效率提高,这是由于茶废弃物通过吸附作用阻止了镉在土壤中的迁移,表明茶废弃物能有效控制镉从土壤向植物根部的迁移。扫描电子显微镜(SEM)验证了植物叶片的恢复。通过茶废弃物研究了受镉污染土壤中植物生长和酶活性(如淀粉酶、过氧化物酶、硝酸还原酶(NR)和亚硝酸还原酶(NiR))的修复情况。受污染土壤中的茶废弃物来源导致了光合作用过程的恢复以及淀粉酶、NR、NiR 和过氧化物酶活性的提高,从而使色素恢复,同时植物的生物量增加。研究表明,茶废弃物可作为镉的良好生物吸附剂,并为植物在镉胁迫下的正常酶活性提供能量,未来农民可能会将其作为一种具有成本效益的技术,用于生产安全、健康的作物。

https://cdn.ncbi.nlm.nih.gov/pmc/blobs/72ef/9572270/d0e7af7d93ce/molecules-27-06362-g001.jpg

文献AI研究员

20分钟写一篇综述,助力文献阅读效率提升50倍。

立即体验

用中文搜PubMed

大模型驱动的PubMed中文搜索引擎

马上搜索

文档翻译

学术文献翻译模型,支持多种主流文档格式。

立即体验