State Key Laboratory of Intelligent Control and Decision of Complex Systems, School of Automation, Beijing Institute of Technology, Beijing 100081, China.
State Key Laboratory of Intelligent Control and Decision of Complex Systems, School of Automation, Beijing Institute of Technology, Beijing 100081, China.
Comput Biol Med. 2022 Nov;150:106181. doi: 10.1016/j.compbiomed.2022.106181. Epub 2022 Oct 5.
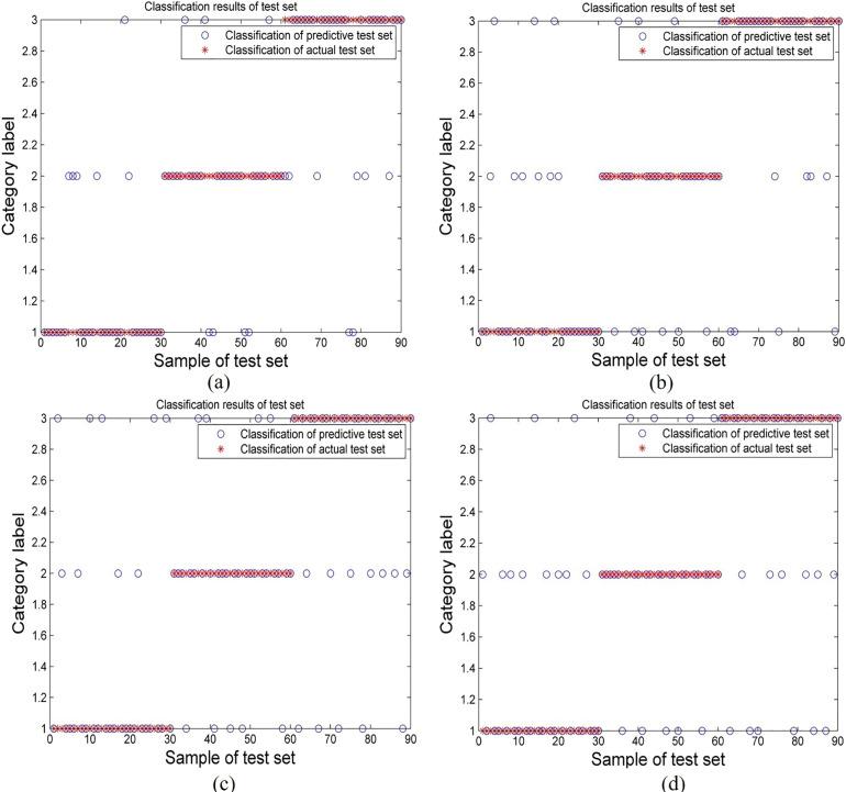
Aiming at the problem that the single CT image signal feature recognition method in the self-diagnosis of diseases cannot accurately and reliably classify COVID-19, and it is easily confused with suspected cases. The collected CT signals and experimental indexes are extracted to construct different feature vectors. The support vector machine is optimized by the improved whale algorithm for the preliminary diagnosis of COVID-19, and the basic probability distribution function of each evidence is calculated by the posterior probability modeling method. Then the similarity measure is introduced to optimize the basic probability distribution function. Finally, the multi-domain feature fusion prediction model is established by using the weighted D-S evidence theory. The experimental results show that the fusion of multi-domain feature information by whale optimized support vector machine and improved D-S evidence theory can effectively improve the accuracy and the precision of COVID-19 autonomous diagnosis. The method of replacing a single feature parameter with multi-modal indicators (CT, routine laboratory indexes, serum cytokines and chemokines) provides a more reliable signal source for the diagnosis model, which can effectively distinguish COVID-19 from the suspected cases.
针对疾病自诊断中单张 CT 图像信号特征识别方法无法准确可靠地对 COVID-19 进行分类,且易与疑似病例混淆的问题,提取采集的 CT 信号和实验指标,构建不同的特征向量。利用改进的鲸鱼算法对支持向量机进行优化,对各证据的基本概率赋值函数进行后验概率建模计算,再引入相似度测度对基本概率赋值函数进行优化,最后通过加权 D-S 证据理论建立多域特征融合预测模型。实验结果表明,利用鲸鱼优化支持向量机和改进的 D-S 证据理论融合多域特征信息,能够有效提高 COVID-19 自主诊断的准确性和精确性。用多模态指标(CT、常规实验室指标、血清细胞因子和趋化因子)代替单一特征参数的方法为诊断模型提供了更可靠的信号来源,可以有效区分 COVID-19 和疑似病例。