Dartmouth-Hitchcock Medical Center, Lebanon, NH, USA
Cornell University Medical Center, New York, NY, USA.
BMJ. 2022 Oct 25;379:e071452. doi: 10.1136/bmj-2022-071452.
To evaluate long term outcomes (reintervention and late rupture of abdominal aortic aneurysm) of aortic endografts in real world practice using linked registry claims data.
Observational surveillance study.
282 centers in the Vascular Quality Initiative Registry linked to United States Medicare claims (2003-18).
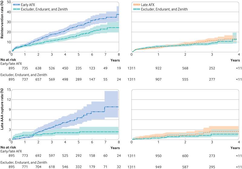
20 489 patients treated with four device types used for endovascular abdominal aortic aneurysm repair (EVAR): 40.6% (n=8310) received the Excluder (Gore), 32.2% (n=6606) the Endurant (Medtronic), 16.0% (n=3281) the Zenith (Cook Medical), and 11.2% (n=2292) the AFX (Endologix). Given modifications to AFX in late 2014, patients who received the AFX device were categorized into two groups: the early AFX group (n=942) and late AFX group (n=1350) and compared with patients who received the other devices, using propensity matched Cox models.
Reintervention and rupture of abdominal aortic aneurysm post-EVAR; all patients (100%) had complete follow-up via the registry or claims based outcome assessment, or both.
Median age was 76 years (interquartile range (IQR) 70-82 years), 80.0% (16 386/20 489) of patients were men, and median follow-up was 2.3 years (IQR 0.9-4.1 years). Crude five year reintervention rates were significantly higher for patients who received the early AFX device compared with the other devices: 14.9% (95% confidence interval 13.7% to 16.2%) for Excluder, 19.5% (18.1% to 21.1%) for Endurant, 16.7% (15.0% to 18.6%) for Zenith, and early 27.0% (23.7% to 30.6%) for the early AFX. The risk of reintervention for patients who received the early AFX device was higher compared with the other devices in propensity matched Cox models (hazard ratio 1.61, 95% confidence interval 1.29 to 2.02) and analyses using a surgeon level instrumental variable of >33% AFX grafts used in their practice (1.75, 1.19 to 2.59). The linked registry claims surveillance data identified the increased risk of reintervention with the early AFX device as early as mid-2013, well before the first regulatory warnings were issued in the US in 2017.
The linked registry claims surveillance data identified a device specific risk in long term reintervention after EVAR of abdominal aortic aneurysm. Device manufacturers and regulators can leverage linked data sources to actively monitor long term outcomes in real world practice after cardiovascular interventions.
利用已注册的索赔数据,通过已注册的索赔数据评估真实世界中主动脉内支架植入术(endograft)的长期(再干预和迟发性腹主动脉瘤破裂)结果。
观察性监测研究。
血管质量倡议注册中心(Vascular Quality Initiative Registry)282 个中心,与美国医疗保险索赔数据(2003-18 年)相关联。
20489 名接受四种用于腹主动脉瘤腔内修复术(EVAR)的器械类型治疗的患者:40.6%(8310 名)接受 Excluder(戈尔公司)治疗,32.2%(6606 名)接受 Endurant(美敦力公司)治疗,16.0%(3281 名)接受 Zenith(库克公司)治疗,11.2%(2292 名)接受 AFX(Endologix)治疗。鉴于 2014 年底对 AFX 的修改,接受 AFX 器械治疗的患者分为两组:早期 AFX 组(n=942)和晚期 AFX 组(n=1350),并与接受其他器械治疗的患者进行比较,使用倾向匹配的 Cox 模型。
EVAR 后腹主动脉瘤的再干预和破裂;所有患者(100%)均通过注册或基于索赔的结果评估进行了完整的随访,或两者兼有。
中位年龄为 76 岁(四分位距(IQR)70-82 岁),80.0%(16386/20489)为男性,中位随访时间为 2.3 年(IQR 0.9-4.1 年)。与接受其他器械治疗的患者相比,接受早期 AFX 器械治疗的患者五年内再干预率明显更高:Excluder 为 14.9%(95%置信区间 13.7%-16.2%),Endurant 为 19.5%(18.1%-21.1%),Zenith 为 16.7%(15.0%-18.6%),早期 AFX 为 27.0%(23.7%-30.6%)。在倾向匹配 Cox 模型中,接受早期 AFX 器械治疗的患者的再干预风险高于其他器械(风险比 1.61,95%置信区间 1.29-2.02),以及使用外科医生水平的超过 33%的 AFX 移植物作为实践中使用的工具变量的分析(1.75,1.19-2.59)。通过已注册的索赔监测数据,早在 2013 年,即美国在 2017 年首次发布监管警告之前,就发现了早期 AFX 设备在长期 EVAR 后再干预的风险增加。
通过已注册的索赔监测数据,确定了腹主动脉瘤腔内修复术后长期再干预的特定器械风险。器械制造商和监管机构可以利用相关联的数据来源,积极监测心血管介入治疗后真实世界实践中的长期结果。