• 文献检索
  • 文档翻译
  • 深度研究
  • 学术资讯
  • Suppr Zotero 插件Zotero 插件
  • 邀请有礼
  • 套餐&价格
  • 历史记录
应用&插件
Suppr Zotero 插件Zotero 插件浏览器插件Mac 客户端Windows 客户端微信小程序
定价
高级版会员购买积分包购买API积分包
服务
文献检索文档翻译深度研究API 文档MCP 服务
关于我们
关于 Suppr公司介绍联系我们用户协议隐私条款
关注我们

Suppr 超能文献

核心技术专利:CN118964589B侵权必究
粤ICP备2023148730 号-1Suppr @ 2026

文献检索

告别复杂PubMed语法,用中文像聊天一样搜索,搜遍4000万医学文献。AI智能推荐,让科研检索更轻松。

立即免费搜索

文件翻译

保留排版,准确专业,支持PDF/Word/PPT等文件格式,支持 12+语言互译。

免费翻译文档

深度研究

AI帮你快速写综述,25分钟生成高质量综述,智能提取关键信息,辅助科研写作。

立即免费体验

利用多重珠式血清学检测鉴定近期霍乱感染。

Identifying Recent Cholera Infections Using a Multiplex Bead Serological Assay.

机构信息

Department of Epidemiology, Johns Hopkins Bloomberg School of Public Health, Baltimore, Maryland, USA.

Infectious Diseases Division, International Centre for Diarrhoeal Disease Research, Bangladesh (icddr,b), Dhaka, Bangladesh.

出版信息

mBio. 2022 Dec 20;13(6):e0190022. doi: 10.1128/mbio.01900-22. Epub 2022 Oct 26.

DOI:10.1128/mbio.01900-22
PMID:36286520
原文链接:https://pmc.ncbi.nlm.nih.gov/articles/PMC9765614/
Abstract

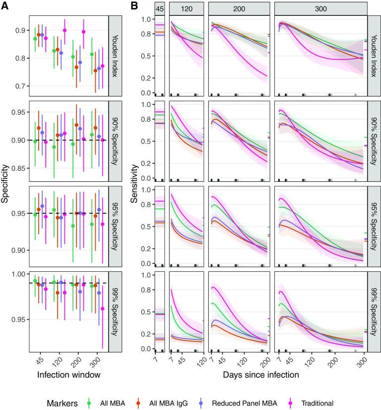
Estimates of incidence based on medically attended cholera can be severely biased. Vibrio cholerae O1 leaves a lasting antibody signal and recent advances showed that these can be used to estimate infection incidence rates from cross-sectional serologic data. Current laboratory methods are resource intensive and challenging to standardize across laboratories. A multiplex bead assay (MBA) could efficiently expand the breadth of measured antibody responses and improve seroincidence accuracy. We tested 305 serum samples from confirmed cholera cases (4 to 1083 d postinfection) and uninfected contacts in Bangladesh using an MBA (IgG/IgA/IgM for 7 Vibrio cholerae O1-specific antigens) as well as traditional vibriocidal and enzyme-linked immunosorbent assays (2 antigens, IgG, and IgA). While postinfection vibriocidal responses were larger than other markers, several MBA-measured antibodies demonstrated robust responses with similar half-lives. Random forest models combining all MBA antibody measures allowed for accurate identification of recent cholera infections (e.g., past 200 days) including a cross-validated area under the curve (cvAUC) of 92%, with simpler 3 IgG antibody models having similar accuracy. Across infection windows between 45 and 300 days, the accuracy of models trained on MBA measurements was non-inferior to models based on traditional assays. Our results illustrated a scalable cholera serosurveillance tool that can be incorporated into multipathogen serosurveillance platforms. Reliable estimates of cholera incidence are challenged by poor clinical surveillance and health-seeking behavior biases. We showed that cross-sectional serologic profiles measured with a high-throughput multiplex bead assay can lead to accurate identification of those infected with pandemic Vibrio cholerae O1, thus allowing for estimates of seroincidence. This provides a new avenue for understanding the epidemiology of cholera, identifying priority areas for cholera prevention/control investments, and tracking progress in the global fight against this ancient disease.

摘要

基于医疗就诊的霍乱发病率估计可能存在严重偏差。霍乱弧菌 O1 会留下持久的抗体信号,最近的进展表明,这些信号可用于从横断面血清学数据中估计感染发病率。目前的实验室方法资源密集且难以在实验室之间标准化。多重珠状分析(MBA)可以有效地扩大测量抗体反应的广度,并提高血清学发病率的准确性。我们使用 MBA(针对 7 种霍乱弧菌 O1 特异性抗原的 IgG/IgA/IgM)以及传统的杀菌力和酶联免疫吸附测定法(2 种抗原,IgG 和 IgA),对孟加拉国 305 例确诊霍乱病例(感染后 4 至 1083 天)和未感染接触者的血清样本进行了检测。虽然感染后杀菌力反应大于其他标志物,但 MBA 测量的几种抗体均表现出相似半衰期的强大反应。结合所有 MBA 抗体测量值的随机森林模型可准确识别近期霍乱感染(例如过去 200 天),包括交叉验证曲线下面积(cvAUC)为 92%,而更简单的 3 种 IgG 抗体模型具有相似的准确性。在感染窗口 45 至 300 天之间,基于 MBA 测量值训练的模型的准确性不亚于基于传统检测的模型。我们的结果说明了一种可扩展的霍乱血清监测工具,可纳入多病原体血清监测平台。可靠的霍乱发病率估计受到较差的临床监测和健康寻求行为偏差的挑战。我们表明,使用高通量多重珠状分析测量的横断面血清学特征可准确识别感染大流行霍乱弧菌 O1 的人群,从而可以估计血清学发病率。这为了解霍乱的流行病学、确定霍乱预防/控制投资的优先领域以及跟踪全球抗击这种古老疾病的进展提供了新途径。

https://cdn.ncbi.nlm.nih.gov/pmc/blobs/24f8/9765614/70bab93a2d0f/mbio.01900-22-f005.jpg
https://cdn.ncbi.nlm.nih.gov/pmc/blobs/24f8/9765614/92184e16037e/mbio.01900-22-f001.jpg
https://cdn.ncbi.nlm.nih.gov/pmc/blobs/24f8/9765614/9383c051db58/mbio.01900-22-f002.jpg
https://cdn.ncbi.nlm.nih.gov/pmc/blobs/24f8/9765614/329315d1d44a/mbio.01900-22-f003.jpg
https://cdn.ncbi.nlm.nih.gov/pmc/blobs/24f8/9765614/868b327f46b5/mbio.01900-22-f004.jpg
https://cdn.ncbi.nlm.nih.gov/pmc/blobs/24f8/9765614/70bab93a2d0f/mbio.01900-22-f005.jpg
https://cdn.ncbi.nlm.nih.gov/pmc/blobs/24f8/9765614/92184e16037e/mbio.01900-22-f001.jpg
https://cdn.ncbi.nlm.nih.gov/pmc/blobs/24f8/9765614/9383c051db58/mbio.01900-22-f002.jpg
https://cdn.ncbi.nlm.nih.gov/pmc/blobs/24f8/9765614/329315d1d44a/mbio.01900-22-f003.jpg
https://cdn.ncbi.nlm.nih.gov/pmc/blobs/24f8/9765614/868b327f46b5/mbio.01900-22-f004.jpg
https://cdn.ncbi.nlm.nih.gov/pmc/blobs/24f8/9765614/70bab93a2d0f/mbio.01900-22-f005.jpg

相似文献

1
Identifying Recent Cholera Infections Using a Multiplex Bead Serological Assay.利用多重珠式血清学检测鉴定近期霍乱感染。
mBio. 2022 Dec 20;13(6):e0190022. doi: 10.1128/mbio.01900-22. Epub 2022 Oct 26.
2
O1 transmission in Bangladesh: insights from a nationally representative serosurvey.孟加拉国 O1 型传播情况:来自全国代表性血清学调查的见解。
Lancet Microbe. 2020 Dec;1(8):e336-e343. doi: 10.1016/S2666-5247(20)30141-5.
3
Predicting Vibrio cholerae infection and symptomatic disease: a systems serology study.预测霍乱弧菌感染和症状性疾病:系统血清学研究。
Lancet Microbe. 2023 Apr;4(4):e228-e235. doi: 10.1016/S2666-5247(22)00391-3. Epub 2023 Mar 9.
4
Plasma and memory B cell responses targeting O-specific polysaccharide (OSP) are associated with protection against Vibrio cholerae O1 infection among household contacts of cholera patients in Bangladesh.针对 O 特异性多糖(OSP)的血浆和记忆 B 细胞反应与孟加拉国霍乱患者家庭接触者对霍乱弧菌 O1 感染的保护有关。
PLoS Negl Trop Dis. 2018 Apr 23;12(4):e0006399. doi: 10.1371/journal.pntd.0006399. eCollection 2018 Apr.
5
Plasma and Mucosal Immunoglobulin M, Immunoglobulin A, and Immunoglobulin G Responses to the Vibrio cholerae O1 Protein Immunome in Adults With Cholera in Bangladesh.孟加拉国霍乱成年患者中血浆及黏膜免疫球蛋白M、免疫球蛋白A和免疫球蛋白G对霍乱弧菌O1蛋白免疫组的应答
J Infect Dis. 2017 Jul 1;216(1):125-134. doi: 10.1093/infdis/jix253.
6
Comparison of immune responses to the O-specific polysaccharide and lipopolysaccharide of Vibrio cholerae O1 in Bangladeshi adult patients with cholera.孟加拉国成年霍乱患者对霍乱弧菌O1型特异性多糖和脂多糖免疫反应的比较。
Clin Vaccine Immunol. 2012 Nov;19(11):1712-21. doi: 10.1128/CVI.00321-12. Epub 2012 Sep 19.
7
Development of immunoglobulin M memory to both a T-cell-independent and a T-cell-dependent antigen following infection with Vibrio cholerae O1 in Bangladesh.在孟加拉国感染霍乱弧菌 O1 后,对 T 细胞非依赖性和 T 细胞依赖性抗原均产生免疫球蛋白 M 记忆。
Infect Immun. 2010 Jan;78(1):253-9. doi: 10.1128/IAI.00868-09. Epub 2009 Oct 26.
8
Estimating cholera incidence with cross-sectional serology.用横断面血清学估计霍乱发病率。
Sci Transl Med. 2019 Feb 20;11(480). doi: 10.1126/scitranslmed.aau6242.
9
Induction of systemic, mucosal and memory antibody responses targeting Vibrio cholerae O1 O-specific polysaccharide (OSP) in adults following oral vaccination with an oral killed whole cell cholera vaccine in Bangladesh.在孟加拉国,口服口服灭活全细胞霍乱疫苗后,诱导成人针对霍乱弧菌 O1 O 特异性多糖(OSP)的全身、黏膜和记忆抗体反应。
PLoS Negl Trop Dis. 2019 Aug 1;13(8):e0007634. doi: 10.1371/journal.pntd.0007634. eCollection 2019 Aug.
10
Incomplete correlation of serum vibriocidal antibody titer with protection from Vibrio cholerae infection in urban Bangladesh.在孟加拉国城市地区,血清杀弧菌抗体滴度与霍乱弧菌感染防护之间的不完全相关性。
J Infect Dis. 2004 Jun 15;189(12):2318-22. doi: 10.1086/421275. Epub 2004 May 25.

引用本文的文献

1
-specific antibodies in plasma and saliva in cholera patients during a severe outbreak in Zambia: an antibody profiling approach.赞比亚严重霍乱疫情期间霍乱患者血浆和唾液中的特异性抗体:一种抗体谱分析方法。
Front Immunol. 2025 Aug 15;16:1641319. doi: 10.3389/fimmu.2025.1641319. eCollection 2025.
2
Expanding cholera serosurveillance to vaccinated populations.将霍乱血清学监测扩展到已接种疫苗的人群。
medRxiv. 2025 Mar 11:2025.03.09.25323598. doi: 10.1101/2025.03.09.25323598.
3
Serodynamics: A primer and synthetic review of methods for epidemiological inference using serological data.

本文引用的文献

1
Systemic, Mucosal, and Memory Immune Responses following Cholera.霍乱后的全身、黏膜和记忆免疫反应
Trop Med Infect Dis. 2021 Oct 27;6(4):192. doi: 10.3390/tropicalmed6040192.
2
Clinical Cholera Surveillance Sensitivity in Bangladesh and Implications for Large-Scale Disease Control.孟加拉国临床霍乱监测敏感性及其对大规模疾病控制的影响。
J Infect Dis. 2021 Dec 20;224(12 Suppl 2):S725-S731. doi: 10.1093/infdis/jiab418.
3
Defining Polysaccharide-Specific Antibody Targets against Vibrio cholerae O139 in Humans following O139 Cholera and following Vaccination with a Commercial Bivalent Oral Cholera Vaccine, and Evaluation of Conjugate Vaccines Targeting O139.
血清动力学:使用血清学数据进行流行病学推断方法的入门介绍与综合综述
Epidemics. 2024 Dec;49:100806. doi: 10.1016/j.epidem.2024.100806. Epub 2024 Nov 30.
4
Inferring the proportion of undetected cholera infections from serological and clinical surveillance in an immunologically naive population.通过对免疫未接触人群的血清学和临床监测推断未检测到的霍乱感染比例。
Epidemiol Infect. 2024 Dec 2;152:e149. doi: 10.1017/S0950268824000888.
5
Analysis of Cholera Risk in India: Insights from 2017-18 Serosurvey Data Integrated with Epidemiologic data and Societal Determinants from 2015-2019.分析印度的霍乱风险:2015-2019 年流行病学数据和社会决定因素综合 2017-2018 年血清学调查数据得出的见解。
PLoS Negl Trop Dis. 2024 Sep 3;18(9):e0012450. doi: 10.1371/journal.pntd.0012450. eCollection 2024 Sep.
6
Clinical surveillance systems obscure the true cholera infection burden in an endemic region.临床监测系统掩盖了流行地区霍乱感染的真实负担。
Nat Med. 2024 Mar;30(3):888-895. doi: 10.1038/s41591-024-02810-4. Epub 2024 Feb 20.
7
Predicting Vibrio cholerae infection and symptomatic disease: a systems serology study.预测霍乱弧菌感染和症状性疾病:系统血清学研究。
Lancet Microbe. 2023 Apr;4(4):e228-e235. doi: 10.1016/S2666-5247(22)00391-3. Epub 2023 Mar 9.
8
Long-term sialidase-specific immune responses after natural infection with cholera: Findings from a longitudinal cohort study in Bangladesh.自然感染霍乱后唾液酸酶的长期特异性免疫反应:来自孟加拉国纵向队列研究的结果。
Front Immunol. 2022 Dec 22;13:1067737. doi: 10.3389/fimmu.2022.1067737. eCollection 2022.
在感染 O139 霍乱弧菌和接种商业双价口服霍乱疫苗后,针对人类 O139 霍乱弧菌的多糖特异性抗体靶点的定义,以及针对 O139 的结合疫苗的评估。
mSphere. 2021 Aug 25;6(4):e0011421. doi: 10.1128/mSphere.00114-21. Epub 2021 Jul 7.
4
Determining seropositivity-A review of approaches to define population seroprevalence when using multiplex bead assays to assess burden of tropical diseases.确定血清阳性率——使用多重微球检测分析评估热带病负担时,定义人群血清流行率的方法综述。
PLoS Negl Trop Dis. 2021 Jun 28;15(6):e0009457. doi: 10.1371/journal.pntd.0009457. eCollection 2021 Jun.
5
Vibrio cholerae Sialidase-Specific Immune Responses Are Associated with Protection against Cholera.霍乱弧菌唾液酸酶特异性免疫应答与霍乱保护作用相关。
mSphere. 2021 Apr 28;6(2):e01232-20. doi: 10.1128/mSphere.01232-20.
6
Multiplex assays for the identification of serological signatures of SARS-CoV-2 infection: an antibody-based diagnostic and machine learning study.用于鉴定 SARS-CoV-2 感染血清学特征的多重分析:基于抗体的诊断和机器学习研究。
Lancet Microbe. 2021 Feb;2(2):e60-e69. doi: 10.1016/S2666-5247(20)30197-X. Epub 2020 Dec 21.
7
O1 transmission in Bangladesh: insights from a nationally representative serosurvey.孟加拉国 O1 型传播情况:来自全国代表性血清学调查的见解。
Lancet Microbe. 2020 Dec;1(8):e336-e343. doi: 10.1016/S2666-5247(20)30141-5.
8
Successive epidemic waves of cholera in South Sudan between 2014 and 2017: a descriptive epidemiological study.2014 年至 2017 年期间南苏丹霍乱的连续疫情波:一项描述性流行病学研究。
Lancet Planet Health. 2020 Dec;4(12):e577-e587. doi: 10.1016/S2542-5196(20)30255-2.
9
Quality control of multiplex antibody detection in samples from large-scale surveys: the example of malaria in Haiti.大规模调查样本中多重抗体检测的质量控制:以海地疟疾为例。
Sci Rep. 2020 Jan 24;10(1):1135. doi: 10.1038/s41598-020-57876-0.
10
Measuring Cryptosporidium Serologic Responses by Multiplex Bead Assay.通过多重微珠分析测定隐孢子虫血清学反应。
Methods Mol Biol. 2020;2052:61-85. doi: 10.1007/978-1-4939-9748-0_5.