Ramirez Carlos A Meza, Stringfellow Helen, Naik Raj, Crosbie Emma J, Paraskevaidi Maria, Rehman Ihtesham U, Martin-Hirsch Pierre
Bioengineering, School of Engineering, Faculty of Science and Technology, Lancaster University, Gillow Avenue, Lancaster LA1 4YW, UK.
Gynaecological Oncology, Clinical Research Facility, Lancashire Teaching Hospitals, Sharoe Green Lane, Preston PR2 9HT, UK.
Cancers (Basel). 2022 Oct 13;14(20):5015. doi: 10.3390/cancers14205015.
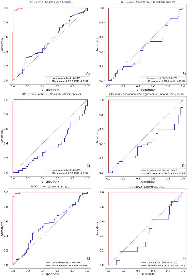
Current triage for women with post-menopausal bleeding (PMB) to diagnose endometrial cancer rely on specialist referral for intimate tests to sequentially image, visualise and sample the endometrium. A point-of-care non-invasive triage tool with an instant readout could provide immediate reassurance for low-risk symptomatic women, whilst fast-tracking high-risk women for urgent intrauterine investigations. This study assessed the potential for infrared (IR) spectroscopy and attenuated total reflection (ATR) technology coupled with chemometric analysis of the resulting spectra for endometrial cancer detection in urine samples. Standardised urine collection and processing protocols were developed to ensure spectroscopic differences between cases and controls reflected cancer status. Urine spectroscopy distinguished endometrial cancer ( = 109) from benign gynaecological conditions ( = 110) with a sensitivity of 98% and specificity of 97%. If confirmed in subsequent low prevalence studies embedded in PMB clinics, this novel endometrial cancer detection tool could transform clinical practice by accurately selecting women with malignant pathology for urgent diagnostic work up whilst safely reassuring those without.
目前,对绝经后出血(PMB)女性进行子宫内膜癌诊断的分诊依赖于专科转诊,以便进行一系列检查,依次对子宫内膜进行成像、可视化和取样。一种即时读数的床旁非侵入性分诊工具可以为低风险有症状的女性提供即时安心,同时将高风险女性快速转诊进行紧急子宫内检查。本研究评估了红外(IR)光谱和衰减全反射(ATR)技术结合对所得光谱进行化学计量分析用于检测尿液样本中子宫内膜癌的潜力。制定了标准化的尿液收集和处理方案,以确保病例与对照之间的光谱差异反映癌症状态。尿液光谱能够以98%的灵敏度和97%的特异性区分子宫内膜癌(n = 109)与良性妇科疾病(n = 110)。如果在随后纳入PMB诊所的低患病率研究中得到证实,这种新型子宫内膜癌检测工具可能会通过准确筛选出患有恶性病变的女性进行紧急诊断检查,同时让没有病变的女性安心,从而改变临床实践。