Suppr超能文献

人工智能驱动的全切片图像分析仪揭示神经内分泌肿瘤中肿瘤浸润淋巴细胞的独特分布。

Artificial Intelligence-Powered Whole-Slide Image Analyzer Reveals a Distinctive Distribution of Tumor-Infiltrating Lymphocytes in Neuroendocrine Neoplasms.

作者信息

Cho Hyung-Gyo, Cho Soo Ick, Choi Sangjoon, Jung Wonkyung, Shin Jiwon, Park Gahee, Moon Jimin, Ma Minuk, Song Heon, Mostafavi Mohammad, Kang Mingu, Pereira Sergio, Paeng Kyunghyun, Yoo Donggeun, Ock Chan-Young, Kim Seokhwi

机构信息

Department of Pediatrics, State University of New York Downstate Medical Center, New York, NY 11203, USA.

Lunit Inc., Seoul 06241, Korea.

出版信息

Diagnostics (Basel). 2022 Sep 27;12(10):2340. doi: 10.3390/diagnostics12102340.

Abstract

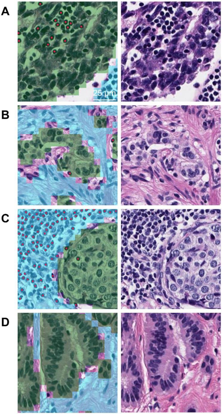
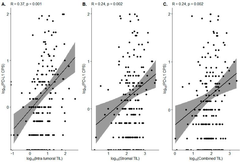
Despite the importance of tumor-infiltrating lymphocytes (TIL) and PD-L1 expression to the immune checkpoint inhibitor (ICI) response, a comprehensive assessment of these biomarkers has not yet been conducted in neuroendocrine neoplasm (NEN). We collected 218 NENs from multiple organs, including 190 low/intermediate-grade NENs and 28 high-grade NENs. TIL distribution was derived from Lunit SCOPE IO, an artificial intelligence (AI)-powered hematoxylin and eosin (H&E) analyzer, as developed from 17,849 whole slide images. The proportion of intra-tumoral TIL-high cases was significantly higher in high-grade NEN (75.0% vs. 46.3%, p = 0.008). The proportion of PD-L1 combined positive score (CPS) ≥ 1 case was higher in high-grade NEN (85.7% vs. 33.2%, p < 0.001). The PD-L1 CPS ≥ 1 group showed higher intra-tumoral, stromal, and combined TIL densities, compared to the CPS < 1 group (7.13 vs. 2.95, p < 0.001; 200.9 vs. 120.5, p < 0.001; 86.7 vs. 56.1, p = 0.004). A significant correlation was observed between TIL density and PD-L1 CPS (r = 0.37, p < 0.001 for intra-tumoral TIL; r = 0.24, p = 0.002 for stromal TIL and combined TIL). AI-powered TIL analysis reveals that intra-tumoral TIL density is significantly higher in high-grade NEN, and PD-L1 CPS has a positive correlation with TIL densities, thus showing its value as predictive biomarkers for ICI response in NEN.

摘要

尽管肿瘤浸润淋巴细胞(TIL)和程序性死亡配体1(PD-L1)表达对免疫检查点抑制剂(ICI)反应很重要,但尚未在神经内分泌肿瘤(NEN)中对这些生物标志物进行全面评估。我们从多个器官收集了218例NEN,包括190例低/中级NEN和28例高级NEN。TIL分布来自Lunit SCOPE IO,这是一种由人工智能(AI)驱动的苏木精和伊红(H&E)分析仪,基于17849张全切片图像开发。高级NEN中肿瘤内TIL高病例的比例显著更高(75.0%对46.3%,p = 0.008)。高级NEN中PD-L1联合阳性评分(CPS)≥1病例的比例更高(85.7%对33.2%,p < 0.001)。与CPS < 1组相比,PD-L1 CPS≥1组的肿瘤内、基质和联合TIL密度更高(7.13对2.95,p < 0.001;200.9对120.5,p < 0.001;86.7对56.1,p = 0.004)。观察到TIL密度与PD-L1 CPS之间存在显著相关性(肿瘤内TIL的r = 0.37,p < 0.001;基质TIL和联合TIL的r = 0.24,p = 0.002)。基于人工智能的TIL分析显示,高级NEN中肿瘤内TIL密度显著更高,且PD-L1 CPS与TIL密度呈正相关,因此显示出其作为NEN中ICI反应预测生物标志物的价值。

https://cdn.ncbi.nlm.nih.gov/pmc/blobs/b29b/9600129/823ac6a09349/diagnostics-12-02340-g001.jpg

文献AI研究员

20分钟写一篇综述,助力文献阅读效率提升50倍。

立即体验

用中文搜PubMed

大模型驱动的PubMed中文搜索引擎

马上搜索

文档翻译

学术文献翻译模型,支持多种主流文档格式。

立即体验