Suppr超能文献

考虑表面效应的层状压电纳米结构中的水平剪切表面波。

Shear Horizontal Surface Waves in a Layered Piezoelectric Nanostructure with Surface Effects.

作者信息

Zhang Lele, Zhao Jing, Nie Guoquan

机构信息

Hebei Key Laboratory of Mechanics of Intelligent Materials and Structures, Department of Engineering Mechanics, Shijiazhuang Tiedao University, Shijiazhuang 050043, China.

Department of Architecture, Shijiazhuang Institute of Railway Technology, Shijiazhuang 050041, China.

出版信息

Micromachines (Basel). 2022 Oct 11;13(10):1711. doi: 10.3390/mi13101711.

Abstract

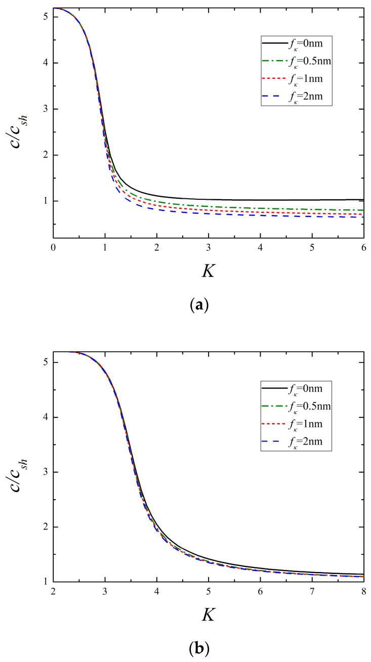
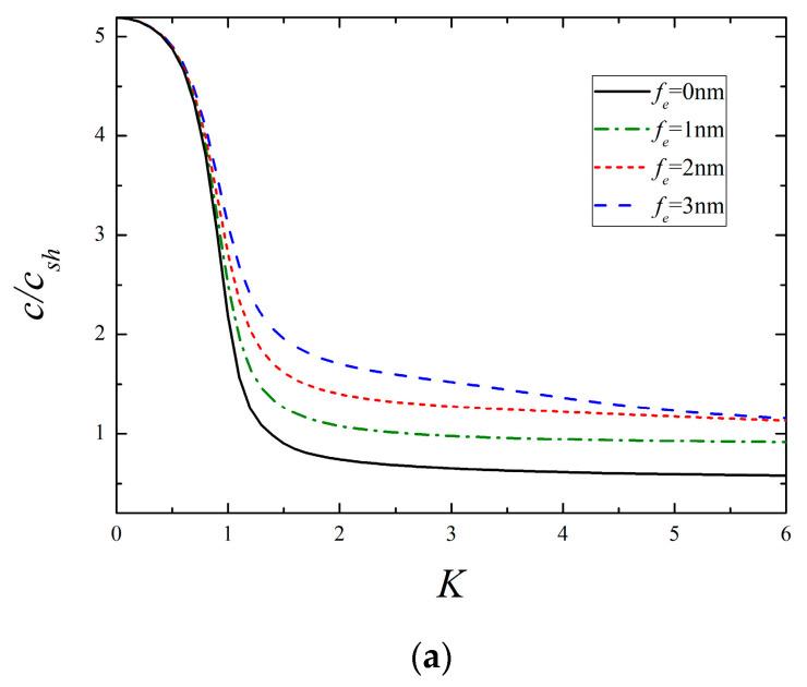
This work aims to provide a fundamental understanding on the dispersive behaviors of shear horizontal (SH) surface waves propagating in a layered piezoelectric nanostructure consisting of an elastic substrate and a piezoelectric nanofilm by considering the surface effects. Theoretical derivation based on the surface piezoelectricity model was conducted for this purpose, and analytic expressions of the dispersion equation under the nonclassical mechanical and electrical boundary conditions were obtained. Numerical solutions were given to investigate the influencing mechanism of surface elasticity, surface piezoelectricity, surface dielectricity, as well as the surface density upon the propagation characteristics of SH surface waves, respectively. The results also reveal the size-dependence of dispersive behaviors, which indicates that the surface effects make a difference only when the thickness of the piezoelectric nanofilm stays in a certain range.

摘要

本工作旨在通过考虑表面效应,对在由弹性基底和压电纳米薄膜组成的层状压电纳米结构中传播的水平剪切(SH)表面波的色散行为提供基本理解。为此,基于表面压电性模型进行了理论推导,得到了非经典机械和电气边界条件下色散方程的解析表达式。分别给出了数值解,以研究表面弹性、表面压电性、表面介电性以及表面密度对SH表面波传播特性的影响机制。结果还揭示了色散行为的尺寸依赖性,这表明只有当压电纳米薄膜的厚度处于一定范围内时,表面效应才会产生影响。

https://cdn.ncbi.nlm.nih.gov/pmc/blobs/09c8/9611477/8601c76cf76a/micromachines-13-01711-g001.jpg

文献AI研究员

20分钟写一篇综述,助力文献阅读效率提升50倍。

立即体验

用中文搜PubMed

大模型驱动的PubMed中文搜索引擎

马上搜索

文档翻译

学术文献翻译模型,支持多种主流文档格式。

立即体验