Dupont Thibault, Darmon Michael, Mariotte Eric, Lemiale Virginie, Fadlallah Jehane, Mirouse Adrien, Zafrani Lara, Azoulay Elie, Valade Sandrine
Assistance Publique-Hôpitaux de Paris (APHP), Medical Intensive Care Unit, Saint-Louis University Hospital, 1 Avenue Claude Vellefaux, 75010, Paris, France.
Université de Paris, Paris, France.
Ann Intensive Care. 2022 Oct 28;12(1):101. doi: 10.1186/s13613-022-01075-9.
Etoposide remains the cornerstone of symptomatic management of critically ill patients with secondary hemophagocytic syndrome (sHS). Risk of healthcare-associated infections (HAIs) in this setting with etoposide has never been assessed. We sought to evaluate the association between etoposide administration, HAIs occurrence and survival in critically ill adult patients with sHS. In this retrospective single-center study conducted in a university hospital ICU between January 2007 and March 2020, all consecutive patients with sHS were included. HAIs were defined as any microbiologically documented infection throughout ICU stay. Competing risk survival analysis was performed to determine factors associated with HAIs. Propensity score-based overlap weighting was performed to adjust for factors associated with etoposide use.
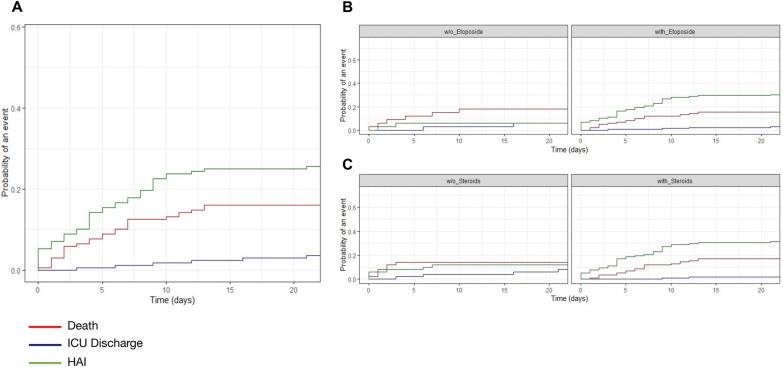
168 patients with a median age of 49 [38, 59] were included. Forty-three (25.6%) patients presented with at least 1 microbiologically documented HAI throughout ICU stay. After adjustment, cumulative incidence of HAI was higher in patients receiving etoposide (p = 0.007), while survival was unaffected by etoposide status (p = 0.824). By multivariable analysis, etoposide treatment was associated with a higher incidence of HAIs (sHR 3.75 [1.05, 6.67]), whereas no association with survival (sHR 0.53 [0.20, 1.98]) was found. Other factors associated with increased mortality after adjustment included age, immunodepression, male sex, SOFA score > 13, and occurrence of HAI.
In patients with sHS, etoposide treatment is independently associated with increased occurrence of HAIs, whereas no association with survival was found. Intensivists should be aware of increased infectious risk, to promptly detect and treat infections in this specific setting. Studies to assess benefits from prophylactic anti-infectious agents in this setting are warranted and the lack of benefit of etoposide on survival needs to be interpreted cautiously.
依托泊苷仍是继发噬血细胞综合征(sHS)重症患者症状管理的基石。在此情况下使用依托泊苷时医疗相关感染(HAIs)的风险从未被评估过。我们试图评估在患有sHS的成年重症患者中,依托泊苷的使用、HAIs的发生与生存之间的关联。在这项于2007年1月至2020年3月在一家大学医院重症监护病房进行的回顾性单中心研究中,纳入了所有连续的sHS患者。HAIs被定义为在整个重症监护病房住院期间任何微生物学记录的感染。进行竞争风险生存分析以确定与HAIs相关的因素。进行基于倾向评分的重叠加权以调整与依托泊苷使用相关的因素。
纳入了168例中位年龄为49岁[38,59岁]的患者。43例(25.6%)患者在整个重症监护病房住院期间出现至少1次微生物学记录的HAI。调整后,接受依托泊苷治疗的患者HAI累积发生率更高(p = 0.007),而生存不受依托泊苷状态的影响(p = 0.824)。通过多变量分析,依托泊苷治疗与更高的HAIs发生率相关(sHR 3.75 [1.05,6.67]),而未发现与生存相关(sHR 0.53 [0.20,1.98])。调整后与死亡率增加相关的其他因素包括年龄、免疫抑制、男性、序贯器官衰竭评估(SOFA)评分>13以及HAI的发生。
在sHS患者中,依托泊苷治疗与HAIs发生率增加独立相关,而未发现与生存相关。重症监护医生应意识到感染风险增加,以便在这种特定情况下及时检测和治疗感染。有必要开展研究评估在这种情况下预防性抗感染药物的益处,并且需要谨慎解释依托泊苷对生存无益处这一情况。