Suppr超能文献

基于2,4,6-三(2-吡啶基)-三嗪的铁和锰配合物:合成、结构、磁性及生物学性质

Fe and Mn complexes based on 2,4,6-tris(2-pyridyl)-triazine: synthesis, structures, magnetic and biological properties.

作者信息

Darii Mariana, Mikosch Annabel, van Leusen Jan, Kravtsov Victor Ch, Dvornina Elena G, Clapco Steliana T, Ciloci Alexandra, Kögerler Paul, Baca Svetlana G

机构信息

Institute of Applied Physics, Academiei 5 MD2028 Chisinau Moldova

Institute of Inorganic Chemistry, RWTH Aachen University Landoltweg 1 52074 Aachen Germany

出版信息

RSC Adv. 2022 Oct 11;12(45):29034-29047. doi: 10.1039/d2ra04868j.

Abstract

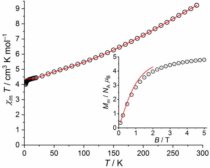
Reaction of the polypyridyl ligand 2,4,6-tris(2-pyridyl)--triazine (tpt) with mono- and polynuclear Fe(iii) or Mn(ii) precursors, specifically tri- or hexanuclear Fe(iii) pivalates (piv), [MnO(piv)(Hpiv)] and Mn(ii) isobutyrate (ib), in various solvents and under various reaction conditions showcase the ligand's surprising coordination characteristics. The reactions result in mononuclear [Fe(tpt)(tptH)][FeCl]·2(thf)·0.23(HO) (1), [Fe(piv)(tpt)Cl] (2), [Fe(tpt)Cl]·2(HO) (3a), dinuclear [Fe O(tpt)Cl] (3), and heptanuclear [Fe O(piv)(tpt-O)]·A [A = MeCN (4a) or 4(dioxane) (4b)] and [Fe O(piv)(tpt-O)(i-PrO)(i-PrOH)]·0.75(i-PrOH) (5), as well as the mononuclear compounds Mn(tpt)(NO)(HO) (6) and [Mn(tpt)(ib)(Cl)(MeOH)]·MeOH (7). Single-crystal X-ray diffraction analyses identify tpt as a tridentate NNN donor ligand that forms two five-membered metallocycles in 1-3, 6 and 7, whereas in 4 and 5 five tpt N atoms form coordinative bonds accompanied by an unusual metal-induced oxidation of one of the carbon atoms of the central triazine core. Magnetic properties of Fe(iii)-tpt (2-5), Fe(ii)-tpt (3a), and Mn(ii)-tpt (7) compounds show dominant antiferromagnetic coupling for polynuclear coordination cluster compounds. The Mn(ii)-tpt complexes 6 and 7 exhibit efficient catalytic properties in the production of enzymes by microorganisms, which concerns the synthesis of exocellular proteases in CNMN FD 12 or Oudemans CNMN FD 15 fungi strains. Thus, compounds 6 and 7 can be used for producing proteolytic enzymes with wide applications including in the food, detergents and pharmaceutical industries.

摘要

多吡啶配体2,4,6 - 三(2 - 吡啶基)- 三嗪(tpt)与单核和多核铁(III)或锰(II)前体,特别是三核或六核铁(III)新戊酸盐(piv)、[MnO(piv)(Hpiv)]和锰(II)异丁酸盐(ib),在各种溶剂和各种反应条件下反应,展示了该配体令人惊讶的配位特性。这些反应生成了单核的[Fe(tpt)(tptH)][FeCl]·2(thf)·0.23(HO)(1)、[Fe(piv)(tpt)Cl](2)、[Fe(tpt)Cl]·2(HO)(3a),双核的[Fe₂O(tpt)Cl](3),七核的[Fe₇O(piv)(tpt - O)]·A [A = MeCN(4a)或4(dioxane)(4b)]和[Fe₇O(piv)(tpt - O)(i - PrO)(i - PrOH)]·0.75(i - PrOH)(5),以及单核化合物Mn(tpt)(NO)(HO)(6)和[Mn(tpt)(ib)(Cl)(MeOH)]·MeOH(7)。单晶X射线衍射分析表明,tpt是一种三齿NNN供体配体,在1 - 3、6和7中形成两个五元金属环,而在4和5中,五个tpt N原子形成配位键,同时伴随着中心三嗪核的一个碳原子发生不寻常的金属诱导氧化。铁(III)- tpt(2 - 5)、铁(II)- tpt(3a)和锰(II)- tpt(7)化合物的磁性表明,多核配位簇化合物具有主导的反铁磁耦合。锰(II)- tpt配合物6和7在微生物产生酶的过程中表现出高效的催化特性,这涉及到在CNMN FD ¹²或Oudemans CNMN FD ¹⁵真菌菌株中外源蛋白酶的合成。因此,化合物6和7可用于生产具有广泛应用的蛋白水解酶,包括在食品、洗涤剂和制药行业。

https://cdn.ncbi.nlm.nih.gov/pmc/blobs/af3a/9552608/d213c1e73522/d2ra04868j-s1.jpg

文献AI研究员

20分钟写一篇综述,助力文献阅读效率提升50倍。

立即体验

用中文搜PubMed

大模型驱动的PubMed中文搜索引擎

马上搜索

文档翻译

学术文献翻译模型,支持多种主流文档格式。

立即体验