Suppr超能文献

探讨 X 染色体失活和雄激素受体 CAG 重复多态性在复发性流产患者中的作用:一项前瞻性病例对照研究。

Investigation of the role of X chromosome inactivation and androgen receptor CAG repeat polymorphisms in patients with recurrent pregnancy loss: a prospective case-control study.

机构信息

Shanghai Ji Ai Genetics and IVF Institute, Obstetrics and Gynecology Hospital, Fudan University, Shanghai, People's Republic of China.

Key Laboratory of Female Reproductive Endocrine Related Diseases, Obstetrics and Gynecology Hospital, Fudan University, Shanghai, People's Republic of China.

出版信息

BMC Pregnancy Childbirth. 2022 Nov 2;22(1):805. doi: 10.1186/s12884-022-05113-z.

Abstract

BACKGROUND

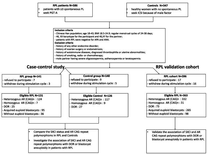
Previous research has revealed that skewed X chromosome inactivation (SXCI) and androgen receptor (AR) CAG polymorphisms are associated with increased risk of recurrent pregnancy loss (RPL); however, the results are conflicting, and the underlying mechanisms remain unclear. This study investigated the role of SXCI and AR CAG polymorphisms in patients with RPL and explored whether the underlying mechanisms were related to the ovarian reserve and preimplantation embryo aneuploidy.

METHODS

This was a prospective case-control study carried out in a tertiary hospital-based reproductive medicine center. An external validation RPL cohort was recruited during the study period. Data on baseline and cycle characteristics were collected. X-chromosome inactivation (XCI) was measured using a human AR assay. AR polymorphisms were assessed using quantitative fluorescent polymerase chain reactions and direct sequencing. Blastocysts of the patients with RPL were tested by single nucleotide polymorphism microarray based preimplantation genetic testing for aneuploidy.

RESULTS

In total, 131 patients with idiopathic RPL and 126 controls were included for the case-control study. Patients with RPL exhibited a significantly more skewed XCI distribution pattern (67.71 ± 10.50 vs. 64.22 ± 10.62, p = 0.011), as well as significantly shorter bi-allelic mean (18.56 ± 1.97 vs. 19.34 ± 2.38, p = 0.005) and X-weighted bi-allelic mean (18.46 ± 2.02 vs. 19.38 ± 2.53, p = 0.001) of AR CAG repeats. Multivariate logistic regression models indicated that CAG repeat < 20, SXCI, and duration of stimulation were independently associated with the risk of RPL. However, SXCI and AR CAG polymorphisms were not associated with ovarian reserve or preimplantation embryo aneuploidy in the RPL group, and the same results were attained in a separate validation cohort of 363 patients with RPL.

CONCLUSION

SXCI and AR CAG polymorphisms are related to RPL; however, these two factors do not lead to RPL by affecting the ovarian reserve or increasing embryo aneuploidy. The roles of SXCI and AR CAG in RPL may involve other mechanisms that require further investigation.

TRIAL REGISTRATION

NCT02504281, https://www.

CLINICALTRIALS

gov (Date of registration, 21/07/2015; date of enrolment of the first subject, 30/07/2015).

摘要

背景

先前的研究表明,偏斜的 X 染色体失活(SXCI)和雄激素受体(AR)CAG 多态性与复发性妊娠丢失(RPL)的风险增加有关;然而,结果存在争议,其潜在机制仍不清楚。本研究旨在探讨 SXCI 和 AR CAG 多态性在 RPL 患者中的作用,并探讨潜在机制是否与卵巢储备和着床前胚胎非整倍体有关。

方法

这是一项在一家三级医院生殖医学中心进行的前瞻性病例对照研究。研究期间招募了外部验证的 RPL 队列。收集了基线和周期特征的数据。使用人 AR 测定法测量 X 染色体失活(XCI)。使用定量荧光聚合酶链反应和直接测序评估 AR 多态性。使用基于单核苷酸多态性微阵列的着床前遗传检测对 RPL 患者的胚胎进行非整倍体检测。

结果

共有 131 名特发性 RPL 患者和 126 名对照者纳入病例对照研究。RPL 患者的 XCI 分布模式明显更为偏斜(67.71±10.50 比 64.22±10.62,p=0.011),双等位基因平均长度明显更短(18.56±1.97 比 19.34±2.38,p=0.005),X 加权双等位基因平均值(18.46±2.02 比 19.38±2.53,p=0.001)。多变量逻辑回归模型表明,CAG 重复<20、SXCI 和刺激持续时间与 RPL 的风险独立相关。然而,SXCI 和 AR CAG 多态性与 RPL 组的卵巢储备或着床前胚胎非整倍体无关,在另外 363 名 RPL 患者的验证队列中也得到了相同的结果。

结论

SXCI 和 AR CAG 多态性与 RPL 有关;然而,这两个因素不会通过影响卵巢储备或增加胚胎非整倍体而导致 RPL。SXCI 和 AR CAG 在 RPL 中的作用可能涉及其他需要进一步研究的机制。

试验注册

NCT02504281,https://www.clinicaltrials.gov(注册日期,2015 年 7 月 21 日;第一个受试者入组日期,2015 年 7 月 30 日)。

https://cdn.ncbi.nlm.nih.gov/pmc/blobs/a8bb/9628046/abb2221c49a6/12884_2022_5113_Fig1_HTML.jpg

文献AI研究员

20分钟写一篇综述,助力文献阅读效率提升50倍。

立即体验

用中文搜PubMed

大模型驱动的PubMed中文搜索引擎

马上搜索

文档翻译

学术文献翻译模型,支持多种主流文档格式。

立即体验