Suppr超能文献

阿尔茨海默病患者血压和脑血流控制机制的纵向变化:一项随机对照试验的次要结果

Longitudinal changes in the control mechanisms for blood pressure and cerebral blood flow in Alzheimer's disease: Secondary results of a randomized controlled trial.

作者信息

de Heus Rianne A A, de Jong Daan L K, Lawlor Brian L, Claassen Jurgen A H R

机构信息

Department of Geriatric Medicine, Radboud Alzheimer Center, Radboud university medical center, Donders Institute for Brain Cognition and Behaviour, P.O. Box 9101 (925), 6500 HB, Nijmegen, the Netherlands.

Trinity College Institute of Neuroscience, Dublin, Ireland.

出版信息

Cereb Circ Cogn Behav. 2021 Jul 10;2:100024. doi: 10.1016/j.cccb.2021.100024. eCollection 2021.

Abstract

OBJECTIVE

Dynamic cerebral autoregulation (dCA) and baroreflex sensitivity (BRS) are key mechanisms involved in the homeostasis of blood pressure (BP) and cerebral blood flow. We assessed changes in these mechanisms in Alzheimer's disease (AD) during a 1.5 year follow-up.

METHODS

In this secondary analysis of a randomized controlled trial we measured beat-to-beat BP, heart rate, and cerebral blood flow velocity at baseline, 0.5 and 1.5 years, during: rest (spontaneous oscillations), repeated sit-stand maneuvers (induced oscillations), an orthostatic challenge, and hypo- and hypercapnia. dCA was estimated using transfer function analysis and the autoregulatory index on spontaneous and induced oscillations. BRS was estimated by calculating the heart rate response to BP changes during induced oscillations. Linear mixed models were used to assess changes over time.

RESULTS

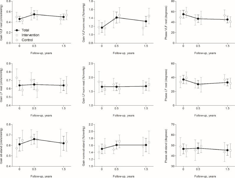
56 patients were included (mean age:73 ± 6 years, 57% female). BRS did not change over time. dCA parameters showed small changes after 0.5 years, suggestive of a reduction in efficiency (e.g. higher gain [linear mixed effect model: B = 0.09, SE = 0.03,  = 0.008] and lower phase [B = -9.7, SE= 3.2,  = 0.004] in the very low frequency domain, and lower autoregulatory index during induced oscillations [B = -0.69, SE = 0.26,  = 0.010]). These changes did not show further progression after 1.5 years of follow-up.

DISCUSSION

In this sample of patients with dementia due to AD we found no evidence that dCA or BRS become impaired during AD progression. This paves the way for further studies that investigate the safety and benefits of antihypertensive treatment in patients with AD.

摘要

目的

动态脑自动调节(dCA)和压力反射敏感性(BRS)是参与血压(BP)和脑血流量稳态的关键机制。我们在1.5年的随访期间评估了阿尔茨海默病(AD)患者这些机制的变化。

方法

在这项随机对照试验的二次分析中,我们在基线、0.5年和1.5年时测量逐搏血压、心率和脑血流速度,测量时段包括:静息状态(自发振荡)、重复坐立位动作(诱发振荡)、直立位挑战以及低碳酸血症和高碳酸血症状态。使用传递函数分析和自发及诱发振荡的自动调节指数来估计dCA。通过计算诱发振荡期间心率对血压变化的反应来估计BRS。使用线性混合模型评估随时间的变化。

结果

纳入56例患者(平均年龄:73±6岁,57%为女性)。BRS未随时间变化。dCA参数在0.5年后有微小变化,提示效率降低(例如在极低频域增益更高[线性混合效应模型:B = 0.09,SE = 0.03,P = 0.008]且相位更低[B = -9.7,SE = 3.2,P = 0.004],以及诱发振荡期间自动调节指数更低[B = -0.69,SE = 0.26,P = 0.010])。在1.5年的随访后,这些变化未进一步进展。

讨论

在这个因AD导致痴呆的患者样本中,我们没有发现证据表明在AD进展过程中dCA或BRS受损。这为进一步研究AD患者降压治疗的安全性和益处铺平了道路。

https://cdn.ncbi.nlm.nih.gov/pmc/blobs/2c10/9616442/7a87b70229fa/gr1.jpg

文献AI研究员

20分钟写一篇综述,助力文献阅读效率提升50倍。

立即体验

用中文搜PubMed

大模型驱动的PubMed中文搜索引擎

马上搜索

文档翻译

学术文献翻译模型,支持多种主流文档格式。

立即体验