Suppr超能文献

二维斑点追踪超声心动图显示骨髓间充质干细胞静脉输注后 X 连锁肌营养不良症小鼠心肌功能改善。

Two-dimensional speckle tracking echocardiography demonstrates improved myocardial function after intravenous infusion of bone marrow mesenchymal stem in the X-Linked muscular dystrophy mice.

机构信息

Department of Ultrasonography, Shenzhen Hospital of Guangzhou University of Chinese Medicine (Fu-tian), Shenzhen, Guangdong, China.

Department of Ultrasonography, Guangzhou Women and Children's Medical Center, Guangzhou Medical University, Guangzhou, Guangdong, China.

出版信息

BMC Cardiovasc Disord. 2022 Nov 3;22(1):461. doi: 10.1186/s12872-022-02886-1.

Abstract

BACKGROUND

Bone marrow mesenchymal stem cells (BMSCs) are commonly used in regenerative medicine. However, it is not clear whether transplantation of BMSCs can improve cardiac function of the X-Linked Muscular Dystrophy Mice (mdx) and how to detect it. We aimed to investigate the role of speckle tracking echocardiography (STE) in detecting cardiac function of the BMSCs-transplanted mdx in comparison with the untreated mdx.

METHODS

The experimental mice were divided into the BMSCs-transplanted mdx, untreated mdx, and control mice groups (n = 6 per group). The BMSCs were transplanted via tail vein injections into a subset of mdx at 20 weeks of age. After four weeks, the cardiac functional parameters of all the mice in the 3 groups were analyzed by echocardiography. Then, all the mice were sacrificed, and the cardiac tissues were harvested and analyzed by immunofluorescence. The serum biochemical parameters were also analyzed to determine the beneficial effects of BMSCs transplantation.

RESULTS

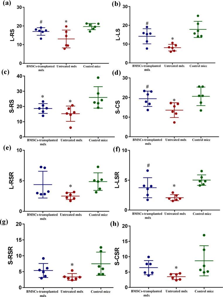
Traditional echocardiography parameters did not show statistically significant differences after BMSCs transplantation for the three groups of mice. In comparison with the control group, mdx showed significantly lower left ventricular (LV) STE parameters in both the long-axis and short-axis LV images (P < 0.05). However, BMSCs-transplanted mdx showed improvements in several STE parameters including significant increases in a few STE parameters (P < 0.05). Immunofluorescence staining of the myocardium tissues showed statistically significant differences between the mdx and the control mice (P < 0.05), and the mdx transplanted with BMSCs demonstrated significantly improvement compared with the untreated mdx (P < 0.05).

CONCLUSION

This study demonstrated that the early reduction in the LV systolic and diastolic function in the mdx were accurately detected by STE. Furthermore, our study demonstrated that the transplantation of BMSCs significantly improved myocardial function in the mdx.

摘要

背景

骨髓间充质干细胞(BMSCs)常用于再生医学。然而,目前尚不清楚 BMSCs 移植是否能改善 X 连锁肌营养不良症(mdx)小鼠的心脏功能,以及如何检测。我们旨在通过斑点追踪超声心动图(STE)检测 BMSCs 移植对未治疗的 mdx 心脏功能的作用,并与未治疗的 mdx 进行比较。

方法

将实验小鼠分为 BMSCs 移植 mdx、未治疗 mdx 和对照组(每组 n = 6)。在 20 周龄时,通过尾静脉注射将 BMSCs 移植到一部分 mdx 中。四周后,通过超声心动图分析三组所有小鼠的心脏功能参数。然后处死所有小鼠,采集心脏组织并通过免疫荧光进行分析。还分析了血清生化参数,以确定 BMSCs 移植的有益作用。

结果

传统超声心动图参数显示三组小鼠 BMSCs 移植后无统计学差异。与对照组相比,mdx 在左心室(LV)长轴和短轴 LV 图像中,LV STE 参数明显降低(P < 0.05)。然而,BMSCs 移植的 mdx 在几个 STE 参数中表现出改善,包括一些 STE 参数显著增加(P < 0.05)。心肌组织免疫荧光染色显示 mdx 与对照组之间存在统计学差异(P < 0.05),BMSCs 移植的 mdx 与未治疗的 mdx 相比,明显改善(P < 0.05)。

结论

本研究表明,STE 能准确检测 mdx 左心室收缩和舒张功能的早期降低。此外,本研究表明,BMSCs 移植可显著改善 mdx 的心肌功能。

https://cdn.ncbi.nlm.nih.gov/pmc/blobs/8fb6/9635191/36cf8ba76c94/12872_2022_2886_Fig1_HTML.jpg

文献AI研究员

20分钟写一篇综述,助力文献阅读效率提升50倍。

立即体验

用中文搜PubMed

大模型驱动的PubMed中文搜索引擎

马上搜索

文档翻译

学术文献翻译模型,支持多种主流文档格式。

立即体验