Martínez-Escutia Rubén, Méndez-Albores Abraham, Vázquez-Durán Alma
Unidad de Investigación Multidisciplinaria L14-A1 (Ciencia y Tecnología de Materiales), Facultad de Estudios Superiores Cuautitlán, Universidad Nacional Autónoma de México, Cuautitlán Izcalli 54714, State of Mexico, Mexico.
Antibiotics (Basel). 2022 Nov 6;11(11):1563. doi: 10.3390/antibiotics11111563.
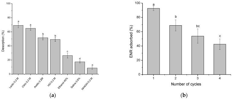
Increasing discharges of synthetic antimicrobial agents from industrial and municipal sewage, as well as from agricultural runoffs into water bodies, is still a global challenge. Here, an unmodified low-cost sorbent was prepared in an ecofriendly manner from leaves for the removal of enrofloxacin (ENR). Sorbent characterization was accomplished using Fourier transform infrared spectroscopy (FTIR), scanning electron microscopy (SEM), energy-dispersive X-ray spectroscopy (EDS), BET surface area, zeta potential, and point of zero charge. Biosorption assays were carried out via batch mode concerning the impact of adsorbent dosage, contact time, solution pH, solution ionic strength, adsorbate concentration, and temperature. In general, ENR adsorption was significantly correlated with pH and ionic strength. At a neutral pH, the sorbent had a theoretical maximal ENR uptake of 138.89 mg/g. However, the adsorption capacity was significantly affected by the presence of high concentrations of divalent cations (Ca and Mg). The findings from the kinetics and isotherms showed that the pseudo-second-order kinetic and Langmuir isotherm models best fit the experimental data. Electrostatic interactions, hydrogen bonding, and π-π stacking were the most important mechanisms of adsorption of ENR onto the sorbent. Overall, this study suggests the promising application of this agricultural residue for the efficient removal of ENR from water.
工业和城市污水以及农业径流中合成抗菌剂向水体的排放量不断增加,这仍然是一个全球性挑战。在此,以环保方式从树叶制备了一种未改性的低成本吸附剂,用于去除恩诺沙星(ENR)。使用傅里叶变换红外光谱(FTIR)、扫描电子显微镜(SEM)、能量色散X射线光谱(EDS)、BET表面积、zeta电位和零电荷点对吸附剂进行了表征。通过分批模式进行生物吸附试验,考察吸附剂用量、接触时间、溶液pH值、溶液离子强度、吸附质浓度和温度的影响。总体而言,ENR吸附与pH值和离子强度显著相关。在中性pH值下,吸附剂对ENR的理论最大吸附量为138.89 mg/g。然而,高浓度二价阳离子(Ca和Mg)的存在显著影响了吸附容量。动力学和等温线研究结果表明,准二级动力学模型和朗缪尔等温线模型最能拟合实验数据。静电相互作用、氢键和π-π堆积是ENR吸附到吸附剂上的最重要机制。总体而言,本研究表明这种农业废弃物在从水中高效去除ENR方面具有广阔的应用前景。