Chaari Moufida, Elhadef Khaoula, Akermi Sarra, Ben Akacha Boutheina, Fourati Mariam, Chakchouk Mtibaa Ahlem, Ennouri Monia, Sarkar Tanmay, Shariati Mohammad Ali, Rebezov Maksim, Abdelkafi Slim, Mellouli Lotfi, Smaoui Slim
Laboratory of Microbial Biotechnology and Engineering Enzymes (LMBEE), Center of Biotechnology of Sfax (CBS), University of Sfax, Sfax 3018, Tunisia.
Laboratory of Biotechnology and Plant Improvement, Center of Biotechnology of Sfax, Sfax 3018, Tunisia.
Antioxidants (Basel). 2022 Oct 24;11(11):2095. doi: 10.3390/antiox11112095.
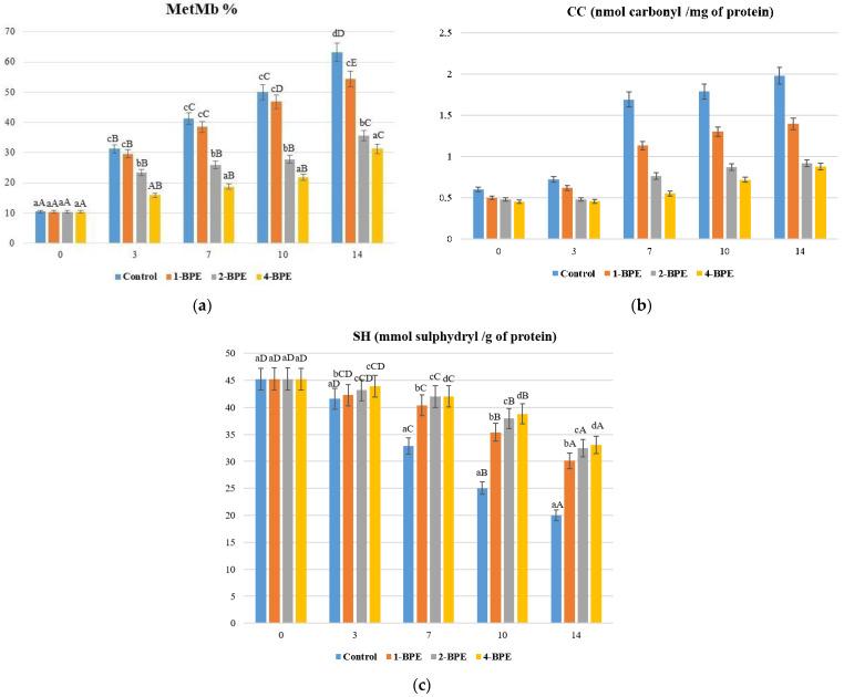
Currently, the exploration of natural colorants from vegetal waste has gained particular attention. Furthermore, incorporation of these natural sources into biopolymers is an encouraging environmentally friendly approach to establishing active films with biological activities for food packaging. The present study developed bioactive antioxidant films based on gelatin-sodium alginate (NaAlg) incorporated with aqueous beetroot peel extract (BPE). Firstly, the effects of combining gelatin-NaAlg and BPE at 0.25, 0.5, and 1% on the mechanical, physical, antioxidant, and antibacterial properties of the films were analyzed. With increasing BPE, mechanico-physical properties and antioxidant and anti-foodborne pathogen capacities were enhanced. Likewise, when added to gelatin-NaAlg films, BPE remarkably increased the instrumental color properties. Moreover, during 14 days of storage at 4 °C, the impact of gelatin-NaAlg coating impregnated with BPE on microbial and chemical oxidation and on the sensory characteristics of beef meat samples was periodically assessed. Interestingly, by the end of the storage, BPE at 1% limited the microbial deterioration, enhanced the instrumental color, delayed chemical oxidation, and improved sensory traits. By practicing chemometrics tools (principal component analysis and heat maps), all data provided valuable information for categorizing all samples regarding microbiological and oxidative properties, sensory features, and instrumental color. Our findings revealed the ability of gelatin-NaAlg with BPE as an antioxidant to be employed as food packaging for meat preservation.
目前,从植物废料中探索天然色素受到了特别关注。此外,将这些天然来源纳入生物聚合物是一种令人鼓舞的环保方法,可用于制备具有生物活性的食品包装活性薄膜。本研究开发了基于明胶-海藻酸钠(NaAlg)并掺入甜菜根皮水提取物(BPE)的生物活性抗氧化薄膜。首先,分析了在0.25%、0.5%和1%的浓度下将明胶-NaAlg与BPE结合对薄膜的机械、物理、抗氧化和抗菌性能的影响。随着BPE含量的增加,机械物理性能以及抗氧化和抗食源性病原体能力均得到增强。同样,当添加到明胶-NaAlg薄膜中时,BPE显著提高了仪器颜色特性。此外,在4℃下储存14天期间,定期评估了浸渍有BPE的明胶-NaAlg涂层对牛肉样品的微生物和化学氧化以及感官特性的影响。有趣的是,在储存结束时,1%的BPE限制了微生物的变质,增强了仪器颜色,延缓了化学氧化,并改善了感官特性。通过运用化学计量学工具(主成分分析和热图),所有数据为根据微生物和氧化特性、感官特征以及仪器颜色对所有样品进行分类提供了有价值的信息。我们的研究结果表明,含有BPE作为抗氧化剂的明胶-NaAlg能够用作肉类保鲜的食品包装材料。