Suppr超能文献

一种具有增强磁电响应的剪切模式磁电异质结构用于杂散工频磁场能量收集。

A Shear-Mode Magnetoelectric Heterostructure with Enhanced Magnetoelectric Response for Stray Power-Frequency Magnetic Field Energy Harvesting.

作者信息

He Wei

机构信息

School of Information Engineering, Baise University, Baise 533000, China.

出版信息

Micromachines (Basel). 2022 Nov 1;13(11):1882. doi: 10.3390/mi13111882.

Abstract

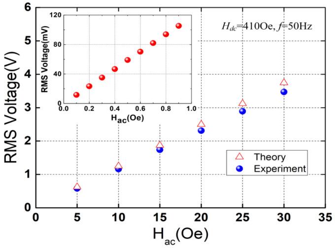
This paper devises a magnetoelectric (ME) heterostructure to harvest ambient stray power-frequency (50 Hz or 60 Hz) magnetic field energy. The device explores the shear piezoelectric effect of the PZT-5A plates and the magnetostrictive activity of the Terfenol-D plates. The utilization of the high-permeability films helps to enhance the magnetoelectric response to the applied alternating magnetic field. A theoretical model is developed based on the piezomagnetic and piezoelectric constitutive equations as well as the boundary conditions. The ME response of the device is characterized theoretically and experimentally. The measured ME voltage coefficient attains 165.2 mV/Oe at the frequency of 50 Hz, which shows a good agreement with the theoretical result. The feasibility for extracting energy from the 50 Hz magnetic field is validated. Under an external alternating magnetic field of 30 Oe, a maximum power of 8.69 μW is generated across an optimal load resistance of 693 kΩ. Improvements of the ME heterostructure are practicable, which allows an enhancement of the ME voltage coefficient and the maximum power by optimizing the structural parameters and utilizing PMN-PT with a higher shear-mode piezoelectric voltage coefficient (g).

摘要

本文设计了一种磁电(ME)异质结构,用于收集环境杂散工频(50Hz或60Hz)磁场能量。该器件利用了PZT - 5A板的剪切压电效应和Terfenol - D板的磁致伸缩活性。高磁导率薄膜的使用有助于增强对施加交变磁场的磁电响应。基于压磁和压电本构方程以及边界条件建立了理论模型。对该器件的磁电响应进行了理论和实验表征。在50Hz频率下测得的磁电电压系数达到165.2mV/Oe,与理论结果吻合良好。验证了从50Hz磁场中提取能量的可行性。在30Oe的外部交变磁场下,在693kΩ的最佳负载电阻上产生的最大功率为8.69μW。磁电异质结构的改进是可行的,通过优化结构参数和使用具有更高剪切模式压电电压系数(g)的PMN - PT,可以提高磁电电压系数和最大功率。

https://cdn.ncbi.nlm.nih.gov/pmc/blobs/ec42/9699361/ec1d38b1f952/micromachines-13-01882-g001.jpg

文献AI研究员

20分钟写一篇综述,助力文献阅读效率提升50倍。

立即体验

用中文搜PubMed

大模型驱动的PubMed中文搜索引擎

马上搜索

文档翻译

学术文献翻译模型,支持多种主流文档格式。

立即体验