• 文献检索
  • 文档翻译
  • 深度研究
  • 学术资讯
  • Suppr Zotero 插件Zotero 插件
  • 邀请有礼
  • 套餐&价格
  • 历史记录
应用&插件
Suppr Zotero 插件Zotero 插件浏览器插件Mac 客户端Windows 客户端微信小程序
定价
高级版会员购买积分包购买API积分包
服务
文献检索文档翻译深度研究API 文档MCP 服务
关于我们
关于 Suppr公司介绍联系我们用户协议隐私条款
关注我们

Suppr 超能文献

核心技术专利:CN118964589B侵权必究
粤ICP备2023148730 号-1Suppr @ 2026

文献检索

告别复杂PubMed语法,用中文像聊天一样搜索,搜遍4000万医学文献。AI智能推荐,让科研检索更轻松。

立即免费搜索

文件翻译

保留排版,准确专业,支持PDF/Word/PPT等文件格式,支持 12+语言互译。

免费翻译文档

深度研究

AI帮你快速写综述,25分钟生成高质量综述,智能提取关键信息,辅助科研写作。

立即免费体验

tisagenlecleucel 在复发或难治性滤泡性淋巴瘤的成年日本患者中的疗效和安全性:ELARA 试验的 2 期结果。

Efficacy and safety of tisagenlecleucel in adult Japanese patients with relapsed or refractory follicular lymphoma: results from the phase 2 ELARA trial.

机构信息

Department of Hematology, Tohoku University Hospital, 1-1 Seiryo-cho, Sendai, 980-8574, Japan.

Department of Medicine and Biosystemic Science, Kyushu University Graduate School of Medical Sciences, Fukuoka, Japan.

出版信息

Int J Hematol. 2023 Feb;117(2):251-259. doi: 10.1007/s12185-022-03481-y. Epub 2022 Nov 21.

DOI:10.1007/s12185-022-03481-y
PMID:36404384
原文链接:https://pmc.ncbi.nlm.nih.gov/articles/PMC9889457/
Abstract

BACKGROUND

Tisagenlecleucel yielded a high durable response rate in patients with relapsed/refractory (r/r) follicular lymphoma (FL) in the global phase 2 ELARA trial. Here, we report the efficacy, safety, and cellular kinetics of tisagenlecleucel in a subgroup of Japanese patients with r/r FL from ELARA.

METHODS

ELARA (NCT03568461) is a global single-arm trial of tisagenlecleucel in patients with r/r FL who received ≥ 2 prior lines of therapy. The primary endpoint was the complete response rate (CRR), and the secondary endpoints were the overall response rate, duration of response, progression-free survival, overall survival, safety, and cellular kinetics.

RESULTS

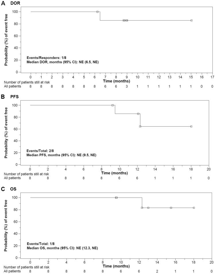
As of March 29, 2021, nine Japanese patients were enrolled and received tisagenlecleucel with a median follow-up of 13.6 months (range, 10.5‒19.3). Per independent review committee, CRR was 100% (95% CI 63.1‒100). Within 8 weeks of infusion, cytokine release syndrome (CRS) of any grade was reported in 6 patients (66.7%); however, no grade ≥ 3 CRS or any grade serious neurological events or treatment-related deaths were observed.

CONCLUSION

Tisagenlecleucel showed high efficacy and manageable safety in adult Japanese patients with r/r FL. Moreover, the clinical outcomes were similar to the global population, which supports the potential of tisagenlecleucel in Japanese patients with r/r FL.

摘要

背景

Tisagenlecleucel 在全球 2 期 ELARA 试验中,对复发/难治性(r/r)滤泡性淋巴瘤(FL)患者显示出高持久缓解率。在此,我们报告了来自 ELARA 的 r/r FL 日本患者亚组中 tisagenlecleucel 的疗效、安全性和细胞动力学。

方法

ELARA(NCT03568461)是一项 tisagenlecleucel 在接受了≥2 线既往治疗的 r/r FL 患者中的全球单臂试验。主要终点是完全缓解率(CRR),次要终点是总缓解率、缓解持续时间、无进展生存期、总生存期、安全性和细胞动力学。

结果

截至 2021 年 3 月 29 日,共有 9 名日本患者入组并接受了 tisagenlecleucel 治疗,中位随访时间为 13.6 个月(范围 10.5-19.3)。根据独立审查委员会的评估,CRR 为 100%(95%CI 63.1-100)。在输注后 8 周内,6 名患者(66.7%)报告出现任何级别细胞因子释放综合征(CRS);然而,未观察到任何级别≥3 的 CRS 或任何级别严重神经系统事件或治疗相关死亡。

结论

Tisagenlecleucel 在复发/难治性 FL 的成年日本患者中显示出高疗效和可管理的安全性。此外,临床结果与全球人群相似,这支持了 tisagenlecleucel 在日本 r/r FL 患者中的应用潜力。

https://cdn.ncbi.nlm.nih.gov/pmc/blobs/24c1/9889457/43e01a05bb16/12185_2022_3481_Fig4_HTML.jpg
https://cdn.ncbi.nlm.nih.gov/pmc/blobs/24c1/9889457/42c8210e1c5e/12185_2022_3481_Fig1_HTML.jpg
https://cdn.ncbi.nlm.nih.gov/pmc/blobs/24c1/9889457/6fba34f64192/12185_2022_3481_Fig2_HTML.jpg
https://cdn.ncbi.nlm.nih.gov/pmc/blobs/24c1/9889457/838ddcb17bd7/12185_2022_3481_Fig3_HTML.jpg
https://cdn.ncbi.nlm.nih.gov/pmc/blobs/24c1/9889457/43e01a05bb16/12185_2022_3481_Fig4_HTML.jpg
https://cdn.ncbi.nlm.nih.gov/pmc/blobs/24c1/9889457/42c8210e1c5e/12185_2022_3481_Fig1_HTML.jpg
https://cdn.ncbi.nlm.nih.gov/pmc/blobs/24c1/9889457/6fba34f64192/12185_2022_3481_Fig2_HTML.jpg
https://cdn.ncbi.nlm.nih.gov/pmc/blobs/24c1/9889457/838ddcb17bd7/12185_2022_3481_Fig3_HTML.jpg
https://cdn.ncbi.nlm.nih.gov/pmc/blobs/24c1/9889457/43e01a05bb16/12185_2022_3481_Fig4_HTML.jpg

相似文献

1
Efficacy and safety of tisagenlecleucel in adult Japanese patients with relapsed or refractory follicular lymphoma: results from the phase 2 ELARA trial.tisagenlecleucel 在复发或难治性滤泡性淋巴瘤的成年日本患者中的疗效和安全性:ELARA 试验的 2 期结果。
Int J Hematol. 2023 Feb;117(2):251-259. doi: 10.1007/s12185-022-03481-y. Epub 2022 Nov 21.
2
Tisagenlecleucel in adult relapsed or refractory follicular lymphoma: the phase 2 ELARA trial.替沙格赛定在成人复发或难治性滤泡性淋巴瘤中的应用:2期ELARA试验
Nat Med. 2022 Feb;28(2):325-332. doi: 10.1038/s41591-021-01622-0. Epub 2021 Dec 17.
3
Durable response after tisagenlecleucel in adults with relapsed/refractory follicular lymphoma: ELARA trial update.tisagenlecleucel治疗复发/难治性滤泡性淋巴瘤成人患者后的持久缓解:ELARA试验更新
Blood. 2024 Apr 25;143(17):1713-1725. doi: 10.1182/blood.2023021567.
4
Assessment of Healthcare Resource Utilization and Hospitalization Costs in Patients With Relapsed or Refractory Follicular Lymphoma Undergoing CAR-T Cell Therapy With Tisagenlecleucel: Results From the ELARA Study.评估接受替沙格赛定CAR-T细胞疗法的复发或难治性滤泡性淋巴瘤患者的医疗资源利用情况和住院费用:ELARA研究结果
Transplant Cell Ther. 2023 Jan;29(1):60.e1-60.e4. doi: 10.1016/j.jtct.2022.09.022. Epub 2022 Sep 28.
5
Efficacy comparison of tisagenlecleucel vs usual care in patients with relapsed or refractory follicular lymphoma.tisagenlecleucel 对比常规护理治疗复发/难治性滤泡淋巴瘤患者的疗效比较。
Blood Adv. 2022 Nov 22;6(22):5835-5843. doi: 10.1182/bloodadvances.2022008150.
6
Long-term clinical outcomes of tisagenlecleucel in patients with relapsed or refractory aggressive B-cell lymphomas (JULIET): a multicentre, open-label, single-arm, phase 2 study.Tisagenlecleucel 治疗复发或难治性侵袭性 B 细胞淋巴瘤患者的长期临床结局(JULIET):一项多中心、开放标签、单臂、2 期研究。
Lancet Oncol. 2021 Oct;22(10):1403-1415. doi: 10.1016/S1470-2045(21)00375-2. Epub 2021 Sep 10.
7
Tisagenlecleucel: CAR-T cell therapy for adult patients with relapsed or refractory follicular lymphoma.替沙格赛定:用于复发或难治性滤泡性淋巴瘤成年患者的嵌合抗原受体T细胞疗法。
Expert Opin Biol Ther. 2023 Jul-Dec;23(9):869-876. doi: 10.1080/14712598.2023.2248878. Epub 2023 Aug 20.
8
Efficacy and safety of tisagenlecleucel in Japanese adult patients with relapsed/refractory diffuse large B-cell lymphoma.Tisagenlecleucel 在日本复发/难治性弥漫性大 B 细胞淋巴瘤成人患者中的疗效和安全性。
Int J Clin Oncol. 2020 Sep;25(9):1736-1743. doi: 10.1007/s10147-020-01699-6. Epub 2020 May 24.
9
Comparative efficacy and safety of tisagenlecleucel and axicabtagene ciloleucel among adults with r/r follicular lymphoma.Tisagenlecleucel 和 axicabtagene ciloleucel 治疗成人复发/难治性滤泡淋巴瘤的疗效和安全性比较。
Leuk Lymphoma. 2024 Mar;65(3):323-332. doi: 10.1080/10428194.2023.2289854. Epub 2024 Jan 5.
10
Tisagenlecleucel in Adult Relapsed or Refractory Diffuse Large B-Cell Lymphoma.Tisagenlecleucel 治疗成人复发或难治性弥漫性大 B 细胞淋巴瘤。
N Engl J Med. 2019 Jan 3;380(1):45-56. doi: 10.1056/NEJMoa1804980. Epub 2018 Dec 1.

引用本文的文献

1
A structural, genetic and clinical comparison of CAR-T cells and CAR-NK cells: companions or competitors?CAR-T 细胞与 CAR-NK 细胞的结构、遗传和临床比较:是伙伴还是竞争对手?
Front Immunol. 2024 Oct 4;15:1459818. doi: 10.3389/fimmu.2024.1459818. eCollection 2024.
2
CAR-T Cell Therapy in the Treatment of Pediatric Non-Hodgkin Lymphoma.嵌合抗原受体T细胞疗法治疗儿童非霍奇金淋巴瘤
J Pers Med. 2023 Nov 10;13(11):1595. doi: 10.3390/jpm13111595.

本文引用的文献

1
Tisagenlecleucel in adult relapsed or refractory follicular lymphoma: the phase 2 ELARA trial.替沙格赛定在成人复发或难治性滤泡性淋巴瘤中的应用:2期ELARA试验
Nat Med. 2022 Feb;28(2):325-332. doi: 10.1038/s41591-021-01622-0. Epub 2021 Dec 17.
2
Axicabtagene ciloleucel in relapsed or refractory indolent non-Hodgkin lymphoma (ZUMA-5): a single-arm, multicentre, phase 2 trial.阿基仑赛注射液治疗复发或难治性惰性非霍奇金淋巴瘤(ZUMA-5):一项单臂、多中心、2 期临床试验。
Lancet Oncol. 2022 Jan;23(1):91-103. doi: 10.1016/S1470-2045(21)00591-X. Epub 2021 Dec 8.
3
Phase II study of tazemetostat for relapsed or refractory B-cell non-Hodgkin lymphoma with EZH2 mutation in Japan.
在日本,对 EZH2 突变的复发性或难治性 B 细胞非霍奇金淋巴瘤进行 tazemetostat 的 II 期研究。
Cancer Sci. 2021 Sep;112(9):3627-3635. doi: 10.1111/cas.15040. Epub 2021 Jul 14.
4
Five-Year Outcomes for Refractory B-Cell Lymphomas with CAR T-Cell Therapy.CAR T细胞疗法治疗难治性B细胞淋巴瘤的五年疗效
N Engl J Med. 2021 Feb 18;384(7):673-674. doi: 10.1056/NEJMc2030164.
5
A multi-center retrospective analysis of patients with relapsed/refractory follicular lymphoma after third-line chemotherapy.三线化疗后复发/难治性滤泡淋巴瘤患者的多中心回顾性分析。
Ann Hematol. 2020 Sep;99(9):2133-2139. doi: 10.1007/s00277-020-04126-y. Epub 2020 Jun 12.
6
Efficacy and safety of tisagenlecleucel in Japanese adult patients with relapsed/refractory diffuse large B-cell lymphoma.Tisagenlecleucel 在日本复发/难治性弥漫性大 B 细胞淋巴瘤成人患者中的疗效和安全性。
Int J Clin Oncol. 2020 Sep;25(9):1736-1743. doi: 10.1007/s10147-020-01699-6. Epub 2020 May 24.
7
Follicular Lymphoma: Recent and Emerging Therapies, Treatment Strategies, and Remaining Unmet Needs.滤泡性淋巴瘤:最新和新兴的治疗方法、治疗策略和未满足的需求。
Oncologist. 2019 Nov;24(11):e1236-e1250. doi: 10.1634/theoncologist.2019-0138. Epub 2019 Jul 25.
8
JSH practical guidelines for hematological malignancies, 2018: II. Lymphoma-1. Follicular lymphoma (FL).《日本血液学会血液系统恶性肿瘤实用指南(2018年):II. 淋巴瘤 - 1. 滤泡性淋巴瘤(FL)》
Int J Hematol. 2019 Jul;110(1):11-19. doi: 10.1007/s12185-019-02655-5. Epub 2019 Jun 6.
9
Tisagenlecleucel in Adult Relapsed or Refractory Diffuse Large B-Cell Lymphoma.Tisagenlecleucel 治疗成人复发或难治性弥漫性大 B 细胞淋巴瘤。
N Engl J Med. 2019 Jan 3;380(1):45-56. doi: 10.1056/NEJMoa1804980. Epub 2018 Dec 1.
10
Epidemiology and secular trends of malignant lymphoma in Japan: Analysis of 9426 cases according to the World Health Organization classification.日本恶性淋巴瘤的流行病学和长期趋势:根据世界卫生组织分类对 9426 例病例的分析。
Cancer Med. 2018 Nov;7(11):5843-5858. doi: 10.1002/cam4.1805. Epub 2018 Oct 11.