Australia New Zealand Gynaecological Oncology Group, Sydney, Australia; National Health and Medical Research Council Clinical Trials Centre, University of Sydney, Sydney, Australia; Prince of Wales Hospital, Randwick, Australia.
Australia New Zealand Gynaecological Oncology Group, Sydney, Australia; Faculty of Medicine, Dentistry and Health Sciences, Monash University, Melbourne, Australia.
ESMO Open. 2022 Dec;7(6):100635. doi: 10.1016/j.esmoop.2022.100635. Epub 2022 Nov 18.
Immune checkpoint inhibitor (ICI) therapy is an emerging option for advanced endometrial cancer (EC). Mismatch repair (MMR) status is widely regarded as a biomarker predictive of response to ICIs. The predictive value of MMR based on small, single-arm trials, however, is conflicting. In this meta-analysis, we aimed to assess the activity of single-agent ICI in advanced EC, and compared the magnitude of treatment benefit in MMR deficient (dMMR) and MMR proficient (pMMR) EC.
We carried out an electronic search to identify prospective trials of single-agent ICI in advanced EC. Data on objective response rate (ORR) and progression-free survival (PFS) were extracted and pooled. ORR was estimated using the inverse variance method and subgroup difference by MMR status was examined. PFS difference according to MMR status was summarized using the Kaplan-Meier approach.
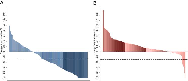
From eight trials with 492 women, the pooled ORR was 19% [95% confidence interval (CI) 16% to 22%]. ORR was significantly greater in dMMR (n = 281) than pMMR EC (n = 211) (dMMR: 46%, pMMR: 8%; risk ratio 5.74, 95% CI 3.58-9.21; interaction P < 0.001). Complete response was 11% and 0.05% and median PFS was 8.3 and 2.1 months in dMMR and pMMR EC, respectively (hazard ratio PFS 0.58, 95% CI 0.38-0.89; P = 0.01). The 12-month PFS rates were 42.0% and 20.7%, respectively.
Single-agent ICI is associated with a 5.74 times greater objective response and 42% reduction in risk of disease progression or death in dMMR compared with pMMR EC. MMR status should be determined prospectively and be used as a stratification factor in future trials of advanced EC. Further translational analysis is urgently required to identify the cause of dMMR and allow subclassification of EC into different dMMR molecular subtypes.
免疫检查点抑制剂(ICI)治疗是晚期子宫内膜癌(EC)的新兴选择。错配修复(MMR)状态被广泛认为是预测对 ICI 反应的生物标志物。然而,基于小型单臂试验的 MMR 预测价值存在冲突。在这项荟萃分析中,我们旨在评估单药 ICI 在晚期 EC 中的活性,并比较 MMR 缺陷(dMMR)和 MMR 正常(pMMR)EC 中治疗益处的程度。
我们进行了电子搜索,以确定单药 ICI 在晚期 EC 中的前瞻性试验。提取并汇总了客观缓解率(ORR)和无进展生存期(PFS)的数据。使用逆方差法估计 ORR,并通过 MMR 状态检查亚组差异。使用 Kaplan-Meier 方法总结根据 MMR 状态的 PFS 差异。
从八项包含 492 名女性的试验中,汇总的 ORR 为 19%[95%置信区间(CI)16%至 22%]。在 dMMR(n=281)中,ORR 明显大于 pMMR EC(n=211)(dMMR:46%,pMMR:8%;风险比 5.74,95%CI 3.58-9.21;交互 P<0.001)。完全缓解率分别为 11%和 0.05%,dMMR 和 pMMR EC 的中位 PFS 分别为 8.3 和 2.1 个月(PFS 风险比 0.58,95%CI 0.38-0.89;P=0.01)。12 个月的 PFS 率分别为 42.0%和 20.7%。
与 pMMR EC 相比,单药 ICI 可使 dMMR 患者的客观缓解率提高 5.74 倍,疾病进展或死亡的风险降低 42%。应前瞻性确定 MMR 状态,并将其作为未来晚期 EC 试验的分层因素。迫切需要进一步的转化分析来确定 dMMR 的原因,并允许将 EC 分为不同的 dMMR 分子亚型。