Jones Chelsea R, Guaglianone Gretchen, Lai Grant H, Nowick James S
Department of Chemistry, University of California, Irvine Irvine California 92697 USA
Department of Pharmaceutical Sciences, University of California, Irvine Irvine California 92697 USA.
Chem Sci. 2022 Oct 24;13(44):13110-13116. doi: 10.1039/d2sc02670h. eCollection 2022 Nov 16.
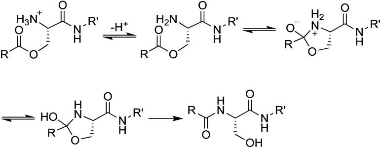
The antibiotic teixobactin is a promising drug candidate against drug-resistant pathogens, such as MRSA and VRE, but forms insoluble gels that may limit intravenous administration. -Acyl isopeptide prodrug analogues of teixobactin circumvent the problem of gel formation while retaining antibiotic activity. The teixobactin prodrug analogues contain ester linkages between Ile and Ser, Ile and Ser, or between both Ile and Ser and Ile and Ser. Upon exposure to physiological pH, the prodrug analogues undergo clean conversion to the corresponding amides, with half-lives between 13 and 115 min. Prodrug analogues containing lysine, arginine, or leucine at position 10 exhibit good antibiotic activity against a variety of Gram-positive bacteria while exhibiting little or no cytotoxicity or hemolytic activity. Because -acyl isopeptide prodrug analogues of teixobactin exhibit clean conversion to the corresponding teixobactin analogues with reduced propensity to form gels, it is anticipated that teixobactin prodrugs will be superior to teixobactin as drug candidates.
抗生素替考拉宁是一种有前景的抗耐药病原体药物,如耐甲氧西林金黄色葡萄球菌(MRSA)和耐万古霉素肠球菌(VRE),但会形成不溶性凝胶,这可能会限制静脉给药。替考拉宁的β-酰基异肽前药类似物在保留抗生素活性的同时,规避了凝胶形成的问题。替考拉宁前药类似物在异亮氨酸(Ile)与丝氨酸(Ser)之间、Ile与Ser之间,或Ile与Ser以及Ile与Ser两者之间含有酯键。在生理pH值条件下,前药类似物可完全转化为相应的酰胺,半衰期在13至115分钟之间。在第10位含有赖氨酸、精氨酸或亮氨酸的前药类似物对多种革兰氏阳性菌表现出良好的抗生素活性,同时几乎没有细胞毒性或溶血活性。由于替考拉宁的β-酰基异肽前药类似物可完全转化为相应的替考拉宁类似物,且形成凝胶的倾向降低,预计替考拉宁前药作为候选药物将优于替考拉宁。