Suppr超能文献

替考拉宁类似物表明持久霉素对于高效抗菌活性和脂质II结合并非必不可少。

Teixobactin analogues reveal enduracididine to be non-essential for highly potent antibacterial activity and lipid II binding.

作者信息

Parmar Anish, Iyer Abhishek, Prior Stephen H, Lloyd Daniel G, Leng Goh Eunice Tze, Vincent Charlotte S, Palmai-Pallag Timea, Bachrati Csanad Z, Breukink Eefjan, Madder Annemieke, Lakshminarayanan Rajamani, Taylor Edward J, Singh Ishwar

机构信息

School of Pharmacy , University of Lincoln , JBL Building, Beevor St. , Lincoln LN67DL , UK . Email:

Organic and Biomimetic Chemistry Research Group , Department of Organic and Macromolecular Chemistry , Ghent University , Krijgslaan 281 (S4) , B-9000 Ghent , Belgium.

出版信息

Chem Sci. 2017 Dec 1;8(12):8183-8192. doi: 10.1039/c7sc03241b. Epub 2017 Oct 5.

Abstract

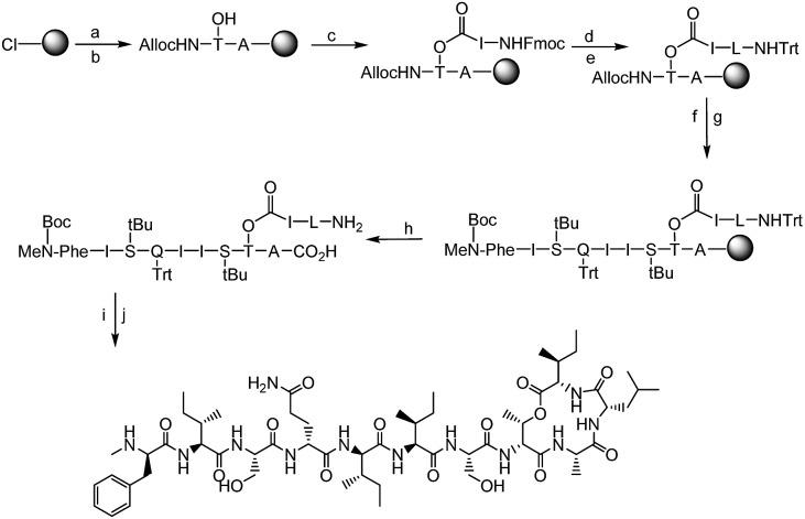
Teixobactin is a highly promising antibacterial depsipeptide consisting of four d-amino acids and a rare l--enduracididine amino acid. l--Enduracididine is reported to be important for the highly potent antibacterial activity of teixobactin. However, it is also a key limiting factor in the development of potent teixobactin analogues due to several synthetic challenges such as it is not commercially available, requires a multistep synthesis, long and repetitive couplings (16-30 hours). Due to all these challenges, the total synthesis of teixobactin is laborious and low yielding (3.3%). In this work, we have identified a unique design and developed a rapid synthesis (10 min μwave assisted coupling per amino acid, 30 min cyclisation) of several highly potent analogues of teixobactin with yields of 10-24% by replacing the l--enduracididine with commercially available non-polar residues such as leucine and isoleucine. Most importantly, the Leu-teixobactin and Ile-teixobactin analogues have shown highly potent antibacterial activity against a broader panel of MRSA and (VRE). Furthermore, these synthetic analogues displayed identical antibacterial activity to natural teixobactin (MIC 0.25 μg mL) against MRSA ATCC 33591 despite their simpler design and ease of synthesis. We have confirmed lipid II binding and measured the binding affinities of individual amino acid residues of Ala-teixobactin towards geranyl pyrophosphate by NMR to understand the nature and strength of binding interactions. Contrary to current understanding, we have shown that a cationic amino acid at position 10 is not essential for target (lipid II) binding and potent antibacterial activity of teixobactin. We thus provide strong evidence contrary to the many assumptions made about the mechanism of action of this exciting new antibiotic. Introduction of a non-cationic residue at position 10 allows for tremendous diversification in the design and synthesis of highly potent teixobactin analogues and lays the foundations for the development of teixobactin analogues as new drug-like molecules to target MRSA and .

摘要

替考拉宁是一种极具前景的抗菌缩酚酸肽,由四个D-氨基酸和一个罕见的L-持久霉素氨基酸组成。据报道,L-持久霉素对于替考拉宁的高效抗菌活性至关重要。然而,由于一些合成挑战,如它没有商业供应、需要多步合成、冗长且重复的偶联反应(16 - 30小时),它也是开发强效替考拉宁类似物的关键限制因素。由于所有这些挑战,替考拉宁的全合成费力且产率低(3.3%)。在这项工作中,我们确定了一种独特的设计,并开发了一种快速合成方法(每个氨基酸10分钟微波辅助偶联,30分钟环化),通过用亮氨酸和异亮氨酸等市售非极性残基取代L-持久霉素,合成了几种高效的替考拉宁类似物,产率为10 - 24%。最重要的是,亮氨酸-替考拉宁和异亮氨酸-替考拉宁类似物对更广泛的耐甲氧西林金黄色葡萄球菌(MRSA)和耐万古霉素肠球菌(VRE)显示出高效抗菌活性。此外,尽管这些合成类似物设计更简单且易于合成,但它们对MRSA ATCC 33591的抗菌活性与天然替考拉宁相同(MIC 0.25μg/mL)。我们通过核磁共振证实了脂质II结合,并测量了丙氨酸-替考拉宁各个氨基酸残基对香叶基焦磷酸的结合亲和力,以了解结合相互作用的性质和强度。与当前的认识相反,我们表明第10位的阳离子氨基酸对于替考拉宁与靶标(脂质II)的结合和强效抗菌活性并非必不可少。因此,我们提供了有力证据,与关于这种令人兴奋的新型抗生素作用机制的许多假设相反。在第10位引入非阳离子残基使得在设计和合成高效替考拉宁类似物方面有了极大的多样性,并为将替考拉宁类似物开发为靶向MRSA和VRE的新型类药物分子奠定了基础。

https://cdn.ncbi.nlm.nih.gov/pmc/blobs/2379/5855875/b795c4b9c8f7/c7sc03241b-f1.jpg

文献检索

告别复杂PubMed语法,用中文像聊天一样搜索,搜遍4000万医学文献。AI智能推荐,让科研检索更轻松。

立即免费搜索

文件翻译

保留排版,准确专业,支持PDF/Word/PPT等文件格式,支持 12+语言互译。

免费翻译文档

深度研究

AI帮你快速写综述,25分钟生成高质量综述,智能提取关键信息,辅助科研写作。

立即免费体验