Suppr超能文献

以椰壳替代细集料的混凝土渗透性系统评价

Systematic Evaluation of Permeability of Concrete Incorporating Coconut Shell as Replacement of Fine Aggregate.

作者信息

Mhaya Akram M, Algaifi Hassan Amer, Shahidan Shahiron, Zuki Sharifah Salwa Mohd, Azmi Mohamad Azim Mohammad, Ibrahim Mohd Haziman Wan, Huseien Ghasan Fahim

机构信息

Faculty of Civil Engineering and Built Environment, Universiti Tun Hussein Onn Malaysia, Parit Raja 86400, Batu Pahat, Johor, Malaysia.

School of Civil Engineering, Faculty of Engineering, Universiti Teknologi Malaysia, Skudai 81310, Johor Bahru, Johor, Malaysia.

出版信息

Materials (Basel). 2022 Nov 10;15(22):7944. doi: 10.3390/ma15227944.

Abstract

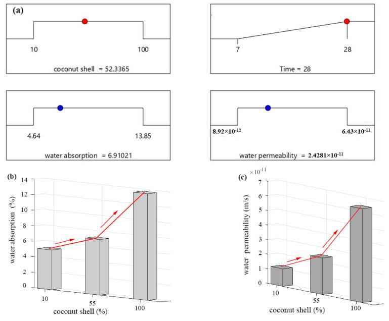
The concern about coconut shell disposal and natural fine aggregate depletion has prompted researchers to utilize coconut shell as aggregate in recent years. However, the majority of the present literature has focused on utilizing coconut shell as a coarse aggregate replacement in concrete via the traditional method. In this study, concrete incorporating coconut shell as a fine aggregate replacement (10-100%) was evaluated using permeability and water absorption tests in a systematic way. The response surface methodology (RSM) was first used to design the experimental works. In addition, an artificial neural network (ANN) and genetic expression programming (GEP) were also taken into account to mathematically predict the permeability and water absorption. Based on both experimental and theoretical modeling, three scenarios were observed. In the first scenario, high quality concrete was achieved when the replacement percentage of sand by coconut shell ranged from 0% to 10%. This is because both the permeability and water absorption were less than 1.5 × 10 m and 5%, respectively. In the second scenario, an acceptable and reasonable low permeability (less than 2.7 × 10 m/s) and water absorption (less than 6.7%) were also obtained when the replacement percentage increased up to 60%. In contrast, the high content coconut shell, such as 90% and 100%, developed concrete with a high permeability and water absorption and was defined in the third scenario. It was also inferred that both the experimental and mathematical models (ANN, GEP, and RSM) have consistent and accurate results. The correlation statistics indicators () were greater than 0.94 and the error was less than 0.3, indicating a strong correlation and minimum error. In conclusion, coconut shell could act as a good alternative material to produce cleaner concrete with an optimum value of 50% as a fine aggregate replacement.

摘要

近年来,对椰壳处理和天然细骨料枯竭的担忧促使研究人员将椰壳用作骨料。然而,目前的大多数文献都集中在通过传统方法将椰壳用作混凝土中的粗骨料替代品。在本研究中,系统地使用渗透性和吸水性试验对掺入椰壳作为细骨料替代品(10%-100%)的混凝土进行了评估。首先使用响应面法(RSM)设计实验工作。此外,还考虑了人工神经网络(ANN)和基因表达式编程(GEP)来对渗透性和吸水性进行数学预测。基于实验和理论建模,观察到三种情况。在第一种情况下,当椰壳替代砂的百分比在0%至10%之间时,可获得高质量的混凝土。这是因为渗透性和吸水性分别小于1.5×10⁻⁴m/s和5%。在第二种情况下,当替代百分比增加到60%时,也获得了可接受且合理的低渗透性(小于2.7×10⁻⁴m/s)和吸水性(小于6.7%)。相比之下,高含量的椰壳,如90%和100%,会使混凝土具有高渗透性和吸水性,这在第三种情况中有所定义。还推断出实验模型和数学模型(ANN、GEP和RSM)都具有一致且准确的结果。相关统计指标(R²)大于0.94且误差小于0.3,表明相关性强且误差最小。总之,椰壳可以作为一种良好的替代材料,以50%的最佳替代率生产更清洁的混凝土作为细骨料替代品。

https://cdn.ncbi.nlm.nih.gov/pmc/blobs/1b94/9696177/5615b9ce3584/materials-15-07944-g001.jpg

文献AI研究员

20分钟写一篇综述,助力文献阅读效率提升50倍。

立即体验

用中文搜PubMed

大模型驱动的PubMed中文搜索引擎

马上搜索

文档翻译

学术文献翻译模型,支持多种主流文档格式。

立即体验