Suppr超能文献

电极固定化小型漆酶电子转移的热力学和动力学研究。

Thermodynamics and Kinetics of Electron Transfer of Electrode-Immobilized Small Laccase from .

机构信息

Department of Life Sciences, University of Modena and Reggio Emilia, Via Campi 103, 41125 Modena, Italy.

Department of Chemical and Geological Sciences, University of Modena and Reggio Emilia, Via Campi 103, 41125 Modena, Italy.

出版信息

Molecules. 2022 Nov 21;27(22):8079. doi: 10.3390/molecules27228079.

Abstract

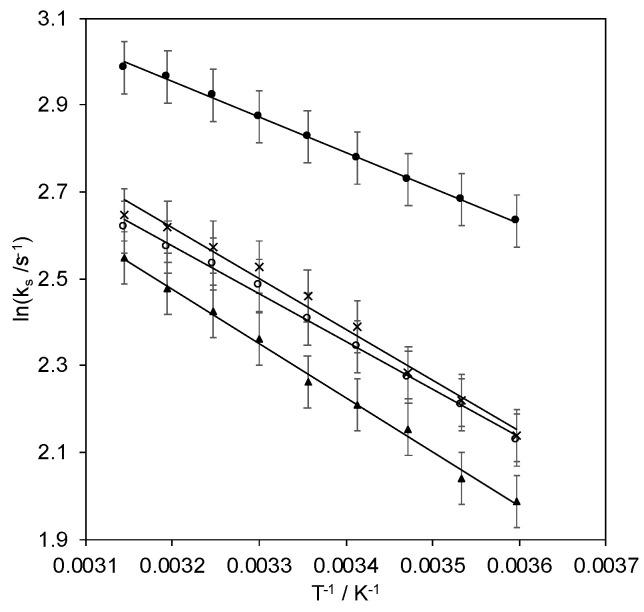
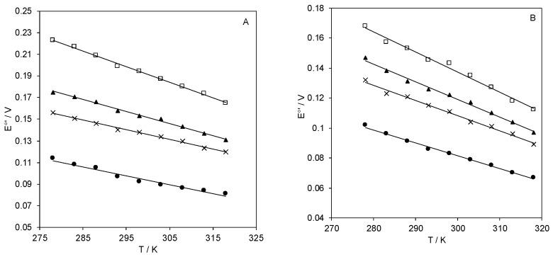
The thermodynamic and kinetic properties for heterogeneous electron transfer (ET) were measured for the electrode-immobilized small laccase (SLAC) from subjected to different electrostatic and covalent protein-electrode linkages, using cyclic voltammetry. Once immobilized electrostatically onto a gold electrode using mixed carboxyl- and hydroxy-terminated alkane-thiolate SAMs or covalently exploiting the same SAM subjected to N-hydroxysuccinimide+1-Ethyl-3-(3-dimethylaminopropyl)carbodiimide (NHS-EDC) chemistry, the SLAC-electrode electron flow occurs through the T1 center. The E°' values (from +0.2 to +0.1 V vs. SHE at pH 7.0) are lower by more than 0.2 V compared to the protein either in solution or immobilized with different anchoring strategies using uncharged SAMs. For the present electrostatic and covalent binding, this effect can, respectively, be ascribed to the negative charge of the SAM surfaces and to deletion of the positive charge of Lys/Arg residues due to amide bond formation which both selectively stabilize the more positively charged oxidized SLAC. Observation of enthalpy/entropy compensation within the series indicates that the immobilized proteins experience different reduction-induced solvent reorganization effects. The E°' values for the covalently attached SLAC are sensitive to three acid base equilibria, with apparent pK values of pK = 5.1, pK = 7.5, pK = 8.4, pK = 10.9, pK = 8.9, pK = 11.3 possibly involving one residue close to the T1 center and two residues (Lys and/or Arg) along with moderate protein unfolding, respectively. Therefore, the E°' value of immobilized SLAC turns out to be particularly sensitive to the anchoring mode and medium conditions.

摘要

采用循环伏安法,测量了[研究对象]中固定化小漆酶(SLAC)的异相电子转移(ET)的热力学和动力学性质,这些酶通过不同的静电和共价蛋白质-电极键合固定在电极上。通过混合羧基和羟基末端烷硫醇 SAM 将 SLAC 静电固定在金电极上,或利用相同的 SAM 通过 N-羟基琥珀酰亚胺+1-乙基-3-(3-二甲基氨基丙基)碳二亚胺(NHS-EDC)化学共价固定,SLAC-电极电子流通过 T1 中心发生。与溶液中的蛋白质或使用不带电 SAM 采用不同固定化策略固定的蛋白质相比,E°' 值(在 pH 7.0 时相对于 SHE 为+0.2 至+0.1 V)低 0.2 V 以上。对于目前的静电和共价键合,这种效应可以分别归因于 SAM 表面的负电荷和由于形成酰胺键而导致正电荷赖氨酸/精氨酸残基的缺失,这两者都选择性地稳定了带更多正电荷的氧化态 SLAC。在系列中观察到焓/熵补偿表明,固定化蛋白质经历不同的还原诱导溶剂重排效应。共价附着的 SLAC 的 E°' 值对三个酸碱平衡敏感,表观 pK 值为 pK = 5.1、pK = 7.5、pK = 8.4、pK = 10.9、pK = 8.9、pK = 11.3,可能涉及一个靠近 T1 中心的残基和两个残基(赖氨酸和/或精氨酸)以及适度的蛋白质展开。因此,固定化 SLAC 的 E°' 值特别容易受到固定化模式和介质条件的影响。

https://cdn.ncbi.nlm.nih.gov/pmc/blobs/2ad6/9692349/bb493f44f901/molecules-27-08079-g001.jpg

文献AI研究员

20分钟写一篇综述,助力文献阅读效率提升50倍。

立即体验

用中文搜PubMed

大模型驱动的PubMed中文搜索引擎

马上搜索

文档翻译

学术文献翻译模型,支持多种主流文档格式。

立即体验