Suppr超能文献

溶瘤性尿路上皮腮腺炎病毒:一种用于三阴性乳腺癌的有前景的病毒疗法。

Oncolytic Urabe mumps virus: A promising virotherapy for triple-negative breast cancer.

作者信息

Behrens Marshall D, Stiles Robert J, Pike Gennett M, Sikkink Laura A, Zhuang Yongxian, Yu Jia, Wang Liewei, Boughey Judy C, Goetz Matthew P, Federspiel Mark J

机构信息

Department of Molecular Medicine, Mayo Clinic, 200 First Street, SW, Rochester, MN 55905, USA.

Viral Vector Production Laboratory, Mayo Clinic, 200 First Street, SW, Rochester, MN 55905, USA.

出版信息

Mol Ther Oncolytics. 2022 Nov 14;27:239-255. doi: 10.1016/j.omto.2022.11.002. eCollection 2022 Dec 15.

Abstract

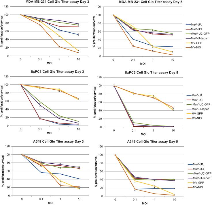
Historically, the clinical utility of oncolytic virotherapy as a treatment for a wide range of cancer types was first demonstrated by three pilot human clinical trials conducted in Japan in the 1970s and 1980s using a wild-type Urabe mumps virus (MuV) clinical isolate. Using a sample of the actual original oncolytic Urabe MuV clinical trial virus stock (MuV-U-Japan) used in these Japanese clinical trials, we found that MuV-U-Japan consisted of a wide variety of very closely related Urabe MuVs that differed by an average of only three amino acids. Two MuV-U-Japan isolates, MuV-UA and MuV-UC, potently killed a panel of established human breast cancer cell lines , significantly extended survival of nude mice with human triple-negative breast cancer (TNBC) MDA-MB-231 tumor xenografts , and demonstrated significant killing activity against breast cancer patient-derived xenograft (PDX) cell lines grown as 3D organoids, including PDXs from patients resistant to anthracycline- and taxane-based chemotherapy. We also report success in developing a large-scale MuV-U production and purification process suitable for supporting Investigational New Drug applications for clinical trials. This study demonstrates the suitability of the MuV-UC virus for translation to modern clinical trials for treating patients with TNBC.

摘要

从历史上看,溶瘤病毒疗法作为治疗多种癌症类型的临床效用最早是在20世纪70年代和80年代日本进行的三项人体临床试验中得到证明的,这些试验使用的是野生型宇治腮腺炎病毒(MuV)临床分离株。通过使用这些日本临床试验中实际使用的原始溶瘤宇治MuV临床试验病毒株(MuV-U-Japan)的样本,我们发现MuV-U-Japan由多种密切相关的宇治MuV组成,它们平均仅相差三个氨基酸。两种MuV-U-Japan分离株,即MuV-UA和MuV-UC,能有效杀死一组已建立的人乳腺癌细胞系,显著延长携带人三阴性乳腺癌(TNBC)MDA-MB-231肿瘤异种移植的裸鼠的生存期,并对作为3D类器官生长的乳腺癌患者来源异种移植(PDX)细胞系表现出显著的杀伤活性,包括对基于蒽环类和紫杉烷类化疗耐药患者的PDX。我们还报告了成功开发出一种大规模MuV-U生产和纯化工艺,该工艺适用于支持临床试验的研究性新药申请。这项研究证明了MuV-UC病毒适用于转化为治疗TNBC患者的现代临床试验。

https://cdn.ncbi.nlm.nih.gov/pmc/blobs/c39b/9703006/2ff5fa2fd3b7/fx1.jpg

文献检索

告别复杂PubMed语法,用中文像聊天一样搜索,搜遍4000万医学文献。AI智能推荐,让科研检索更轻松。

立即免费搜索

文件翻译

保留排版,准确专业,支持PDF/Word/PPT等文件格式,支持 12+语言互译。

免费翻译文档

深度研究

AI帮你快速写综述,25分钟生成高质量综述,智能提取关键信息,辅助科研写作。

立即免费体验