Suppr超能文献

制备聚乙烯醇/废弃牡蛎壳粉复合材料作为废水中重金属的高效吸附剂。

Preparation of PVA/waste oyster shell powder composite as an efficient adsorbent of heavy metals from wastewater.

作者信息

Zhou Zhenfeng, Wang Yinuo, Sun Shu, Wang Yicheng, Xu Liang

机构信息

School of Resources and Environment, Qingdao Agricultural University, Qingdao 266109, China.

出版信息

Heliyon. 2022 Nov 29;8(12):e11938. doi: 10.1016/j.heliyon.2022.e11938. eCollection 2022 Dec.

Abstract

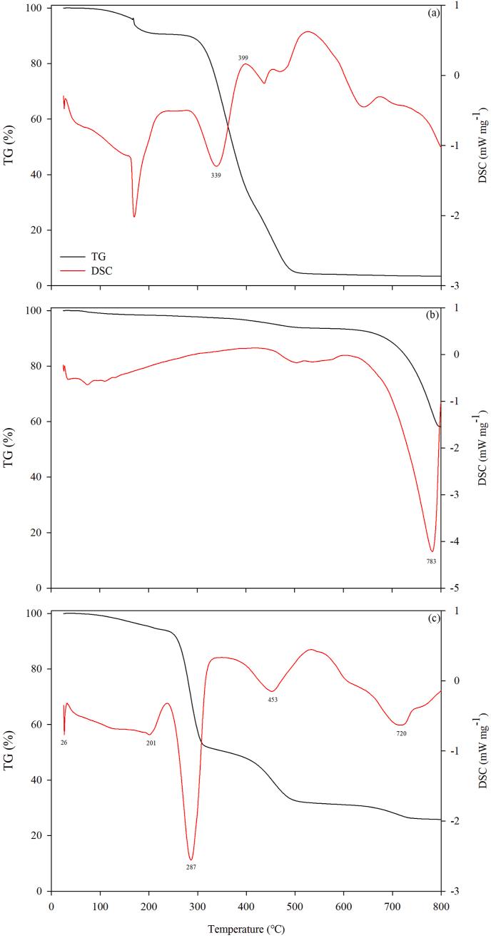
The accumulation of discarded mollusk shells has occupied a large land area and caused severe environmental pollution problems. Discarded mollusk shells are mainly composed of calcium carbonate and therefore can be used for the removal of heavy metals from the contaminated aquatic environment. Theoretically, shells with a smaller powder size have a higher adsorption capacity for heavy metal ions. However, the agglomeration and the outflow of small particles limit the applications of mollusk shells in water treatment practices. To overcome the shortcomings of mollusk shells in heavy metals adsorptions, a polymer composite material comprising poly (vinyl alcohol)/oyster shell powder (PVA-OSP) was prepared with the solution casting method for the adsorption of heavy metal ions from wastewater. The structures and the heavy metal adsorption properties of the oyster shell powder (OSP) and the composite PVA-OSP were studied and compared. Analysis results of XRD and FT-IR showed a successful combination of OSP and PVA by a chemical cross-linking modified with sodium silicate. The composite PVA-OSP has good thermal stability for common adsorption processes. The adsorption results showed that the adsorption capacity of the PVA-OSP composite for both Cu and Cd was much higher than that of the OSP. The adsorptions of Cu and Cd on the OSP followed the pseudo-second-order kinetic model as well as the Temkin and Freundlich isotherm model. Comparatively, the adsorptions of heavy metal cations on the PVA-OSP followed the pseudo-first-order kinetic model as well as the Temkin and Langmuir isotherm model. In conclusion, this study showed that the PVA-OSP composite materials may be useful in the treatment of wastewater polluted by heavy metals.

摘要

废弃软体动物贝壳的堆积占用了大量土地,并造成了严重的环境污染问题。废弃软体动物贝壳主要由碳酸钙组成,因此可用于去除受污染水环境中的重金属。理论上,粉末尺寸较小的贝壳对重金属离子具有更高的吸附能力。然而,小颗粒的团聚和流出限制了软体动物贝壳在水处理实践中的应用。为了克服软体动物贝壳在重金属吸附方面的缺点,采用溶液浇铸法制备了一种包含聚乙烯醇/牡蛎壳粉(PVA-OSP)的聚合物复合材料,用于吸附废水中的重金属离子。研究并比较了牡蛎壳粉(OSP)和复合PVA-OSP的结构及重金属吸附性能。XRD和FT-IR分析结果表明,通过硅酸钠化学交联改性,OSP与PVA成功结合。复合PVA-OSP在常见吸附过程中具有良好的热稳定性。吸附结果表明,PVA-OSP复合材料对铜和镉的吸附容量远高于OSP。OSP对铜和镉的吸附遵循准二级动力学模型以及Temkin和Freundlich等温线模型。相比之下,重金属阳离子在PVA-OSP上的吸附遵循准一级动力学模型以及Temkin和Langmuir等温线模型。总之,本研究表明PVA-OSP复合材料可能对处理受重金属污染的废水有用。

https://cdn.ncbi.nlm.nih.gov/pmc/blobs/bfcb/9720534/d02d07855d12/ga1.jpg

文献AI研究员

20分钟写一篇综述,助力文献阅读效率提升50倍。

立即体验

用中文搜PubMed

大模型驱动的PubMed中文搜索引擎

马上搜索

文档翻译

学术文献翻译模型,支持多种主流文档格式。

立即体验