Department of Internal Diseases, Rehabilitation and Physical Medicine, Medical University of Lodz, 70-445 Lodz, Poland.
Int J Environ Res Public Health. 2022 Nov 25;19(23):15715. doi: 10.3390/ijerph192315715.
Patients with peripheral artery disease (PAD) often experience intermittent claudication. It is manifested by pain typically seen in the distal part of the legs during walking, which impairs the ability to walk, limits physical activity and results in lower health-related quality of life. It often leads to chronic ischemic pain, ulceration and even amputation. The aim of the study was to evaluate the effect of controlled physical training and whirlpool massage on changes in circuits, range of motion and distance of claudication in people with atherosclerotic ischemia of the lower limbs.
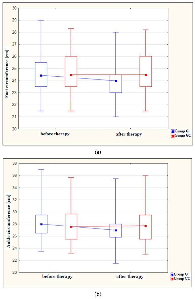
The study included 100 patients, males and females aged 39 to 79 years, with peripheral circulation disorders of the lower limbs. The subjects were randomly divided into two groups. Group I (G) was treated with a series of 10 lower-limb whirling massages and took part in individually planned training, including breathing, relaxation and active free lower-limb exercises. Group II-control group (GC) took part only in individually planned training. Prior to the treatment procedures and after their completion, the ranges of movement of the ankle joint and the circumference of the lower limbs were measured and the corridor test (6MWT, six-minute walk test) was performed.
Statistically significant reduction in the circumference of the foot, ankle, calf and thigh in the G group was noticed. Both, in G and in GC group, a statistically significant increase in the range of dorsiflexion of the foot was found in comparison to the period before the procedures ( = 0.010; = 0.006, respectively). There was also a statistically significant increase in the range of motion of the plantar flexion of the foot after the procedures in G ( = 0.007) and in GC ( = 0.048). Differences in the circumference of the lower limbs and the range of ankle joint movements between the study group and the control group before and after the therapy were not statistically significant. However, there was a statistically significant difference between these groups after the procedures in the 6-min walk test-significantly higher values of 6MWT were recorded in group G ( = 0.003).
Individually planned training, supplemented with hydrotherapy as thermal therapy, has a beneficial effect on reducing swelling of the lower limbs, increasing the range of foot movements and extending the distance in the 6-min walk test.
患有外周动脉疾病(PAD)的患者常经历间歇性跛行。其表现为行走时腿部远端出现疼痛,这会导致行走能力受损、身体活动受限,进而降低健康相关生活质量。它常导致慢性缺血性疼痛、溃疡,甚至截肢。本研究旨在评估控制身体训练和漩涡浴按摩对下肢粥样硬化缺血患者的循环、运动范围和跛行距离变化的影响。
本研究纳入了 100 名年龄在 39 岁至 79 岁之间的男性和女性下肢周围循环障碍患者。这些患者被随机分为两组。第一组(G 组)接受了一系列 10 次下肢漩涡浴按摩,并参与了个体化计划的训练,包括呼吸、放松和主动自由下肢运动。第二组(GC 组)仅参与个体化计划的训练。在治疗程序前后,测量了踝关节活动范围和下肢周径,并进行了走廊测试(6MWT,六分钟步行测试)。
G 组的足部、脚踝、小腿和大腿周径明显缩小。与治疗前相比,G 组和 GC 组的足部背屈范围均有显著增加(=0.010;=0.006)。G 组(=0.007)和 GC 组(=0.048)的足部跖屈范围在治疗后也有显著增加。治疗前后研究组和对照组下肢周径和踝关节运动范围无统计学差异。然而,治疗后两组间 6 分钟步行测试有显著差异,G 组的 6MWT 值明显更高(=0.003)。
个体化计划的训练,辅以水疗作为热疗,对外周动脉疾病患者下肢肿胀减轻、足部运动范围增加和 6 分钟步行测试距离延长有有益作用。