Key Laboratory of Forest Genetics & Biotechnology of Ministry of Education, Co-Innovation Center for Sustainable Forestry in Southern China, College of Forestry, Nanjing Forestry University, Nanjing 210037, China.
Int J Mol Sci. 2022 Dec 2;23(23):15214. doi: 10.3390/ijms232315214.
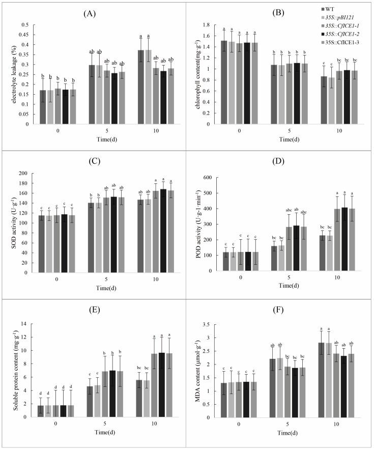
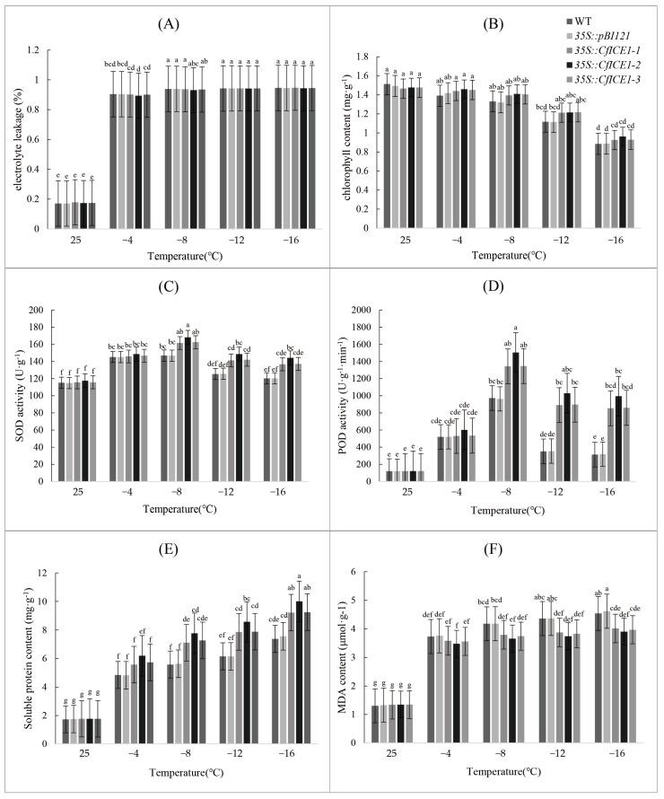
, a regulator of the cold-inducible transcriptome and freezing tolerance, is currently widely believed to be involved in plant resistance to cold stress. In this study, from was transformed into poplar. Physiological indicators of transgenic, empty vector and wild-type poplar after abiotic stress (cold, drought and salt) were determined. Transgenic lines had a higher chlorophyll content, antioxidant enzyme activity and soluble protein content, as well as a lower malondialdehyde and hydrogen peroxide content. The ultrastructure of the plant was observed by transmission electron microscopy, and after stress, the cell structure of the transgenic line was more complete than that of the wild type. was upregulated in transgenic poplar trees after abiotic stress (cold, drought and salt). The transgenic plants improved plant resistance by regulating the gene of poplar under cold and salt stress. In terms of plant responses to abiotic stress, this study showed that overexpression of improved the cold, drought and salt tolerance of poplars.
冷诱导转录组和抗冻性调节因子 (CBF1) 被广泛认为参与植物对低温胁迫的抗性。本研究将 从 中克隆出来并转化到杨树中。对非生物胁迫(冷、干旱和盐)后转基因、空载体和野生型杨树的生理指标进行了测定。转基因品系的叶绿素含量、抗氧化酶活性和可溶性蛋白含量较高,丙二醛和过氧化氢含量较低。通过透射电子显微镜观察植物的超微结构,胁迫后,转基因品系的细胞结构比野生型更完整。非生物胁迫(冷、干旱和盐)后,转基因杨树中 的表达上调。在冷和盐胁迫下,转基因杨树通过调节 基因来提高植物的抗性。就植物对非生物胁迫的反应而言,本研究表明过表达 提高了杨树的抗冷、抗旱和耐盐性。