Suppr超能文献

有证据表明,医疗机构内患者与患者之间的感染在不同环境中传播。

Evidence of within-facility patient-patient infection spread across diverse settings.

机构信息

Department of Statistics, University of Iowa, Iowa City, USA.

Department of Biostatistics, University of Iowa, Iowa City, USA.

出版信息

Epidemiol Infect. 2022 Dec 11;151:e4. doi: 10.1017/S0950268822001893.

Abstract

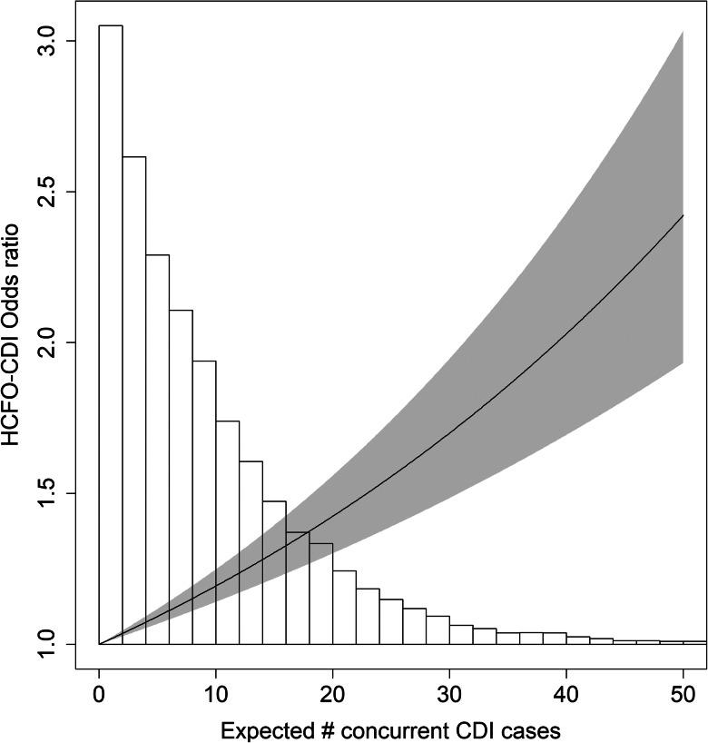
Previous studies have suggested that a hospital patient's risk of developing healthcare facility-onset (HCFO) infections (CDIs) increases with the number of concurrent spatially proximate patients with CDI, termed CDI pressure. However, these studies were performed either in a single institution or in a single state with a very coarse measure of concurrence. We conducted a retrospective case-control study involving over 17.5 million inpatient visits across 700 hospitals in eight US states. We built a weighted, directed network connecting overlapping inpatient visits to measure facility-level CDI pressure. We then matched HCFO-CDIs with non-CDI controls on facility, comorbidities and demographics and performed a conditional logistic regression to determine the odds of developing HCFO-CDI given the number of coincident patient visits with CDI. On average, cases' visits coincided with 9.2 CDI cases, which for an individual with an average length of stay corresponded to an estimated 17.7% (95% CI 12.9-22.7%) increase in the odds of acquiring HCFO-CDI compared to an inpatient visit without concurrent CDI cases or fully isolated from both direct and indirect risks from concurrent CDI cases. These results suggest that, either directly or indirectly, hospital patients with CDI lead to CDIs in non-infected patients with temporally overlapping visits.

摘要

先前的研究表明,医院患者发生医疗机构获得性(HCFO)感染(CDI)的风险随着同时存在的具有 CDI 的空间邻近患者数量的增加而增加,称为 CDI 压力。然而,这些研究要么在单个机构中进行,要么在单个州进行,使用的是非常粗略的并发衡量标准。我们进行了一项回顾性病例对照研究,涉及美国八个州的 700 家医院的超过 1750 万次住院就诊。我们构建了一个加权有向网络,连接重叠的住院就诊,以衡量医疗机构层面的 CDI 压力。然后,我们根据医疗机构、合并症和人口统计学因素将 HCFO-CDIs 与非 CDI 对照进行匹配,并进行条件逻辑回归,以确定在存在并发 CDI 患者就诊的情况下,患者发生 HCFO-CDI 的可能性。平均而言,病例就诊与 9.2 例 CDI 病例同时发生,对于平均住院时间的个体而言,与没有并发 CDI 病例的住院就诊相比,感染 HCFO-CDI 的可能性增加了 17.7%(95%CI 12.9-22.7%),或者与同时存在直接和间接的并发 CDI 病例风险的住院就诊相比,感染 HCFO-CDI 的可能性增加了 17.7%(95%CI 12.9-22.7%)。这些结果表明,具有 CDI 的医院患者会直接或间接导致同时具有重叠就诊时间的非感染患者发生 CDI。

https://cdn.ncbi.nlm.nih.gov/pmc/blobs/775c/9990401/88f4f09c7578/S0950268822001893_fig1.jpg

文献AI研究员

20分钟写一篇综述,助力文献阅读效率提升50倍。

立即体验

用中文搜PubMed

大模型驱动的PubMed中文搜索引擎

马上搜索

文档翻译

学术文献翻译模型,支持多种主流文档格式。

立即体验