Department of Neurology and Neurosurgery, McGill University, Montreal, Quebec, Canada.
Metabolic Disorders and Complications Program, and Brain Repair and Integrative Neuroscience Program, Research Institute of the McGill University Health Centre, Montreal, Quebec, Canada.
Aging Cell. 2023 Feb;22(2):e13740. doi: 10.1111/acel.13740. Epub 2022 Dec 13.
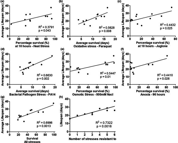
Mutations that extend lifespan are associated with enhanced resistance to stress. To better understand the molecular mechanisms underlying this relationship, we directly compared lifespan extension, resistance to external stressors, and gene expression in a panel of nine long-lived Caenorhabditis elegans mutants from different pathways of lifespan extension. All of the examined long-lived mutants exhibited increased resistance to one or more types of stress. Resistance to each of the examined types of stress had a significant, positive correlation with lifespan, with bacterial pathogen resistance showing the strongest relationship. Analysis of transcriptional changes indicated that all of the examined long-lived mutants showed a significant upregulation of multiple stress response pathways. Interestingly, there was a very significant overlap between genes highly correlated with stress resistance and genes highly correlated with longevity, suggesting that the same genetic pathways drive both phenotypes. This was especially true for genes correlated with bacterial pathogen resistance, which showed an 84% overlap with genes correlated with lifespan. To further explore the relationship between innate immunity and longevity, we disrupted the p38-mediated innate immune signaling pathway in each of the long-lived mutants and found that this pathway is required for lifespan extension in eight of nine mutants. Overall, our results demonstrate a strong correlation between stress resistance and longevity that results from the high degree of overlap in genes contributing to each phenotype. Moreover, these findings demonstrate the importance of the innate immune system in lifespan determination and indicate that the same underlying genes drive both immunity and longevity.
延长寿命的突变与增强对压力的抵抗力有关。为了更好地理解这种关系的分子机制,我们直接比较了来自不同寿命延长途径的 9 个长寿命秀丽隐杆线虫突变体的寿命延长、对外界应激源的抵抗力和基因表达。所有检查过的长寿命突变体都表现出对一种或多种类型压力的抵抗力增强。每种检查过的压力的抵抗力与寿命呈显著正相关,细菌病原体抗性的相关性最强。转录变化分析表明,所有检查过的长寿命突变体都表现出多种应激反应途径的显著上调。有趣的是,与应激抗性高度相关的基因与与寿命高度相关的基因之间存在非常显著的重叠,这表明相同的遗传途径驱动这两种表型。与细菌病原体抗性相关的基因尤其如此,它们与与寿命相关的基因有 84%的重叠。为了进一步探索先天免疫与长寿之间的关系,我们破坏了每个长寿命突变体中的 p38 介导的先天免疫信号通路,发现该通路对于 9 个突变体中的 8 个的寿命延长是必需的。总的来说,我们的结果表明,抵抗压力和长寿之间存在很强的相关性,这是由于导致每种表型的基因高度重叠所致。此外,这些发现表明先天免疫系统在寿命决定中的重要性,并表明相同的潜在基因驱动免疫和长寿。