Yang Fengqi, Hyun Jimin, Nagahawatta D P, Kim Young Min, Heo Moon-Soo, Jeon You-Jin
Department of Marine Life Sciences, Jeju National University, Jeju 63243, Republic of Korea.
Marine Science Institute, Jeju National University, Jeju 63333, Republic of Korea.
Antioxidants (Basel). 2022 Dec 10;11(12):2442. doi: 10.3390/antiox11122442.
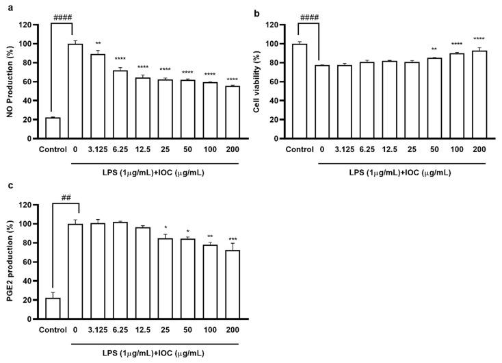
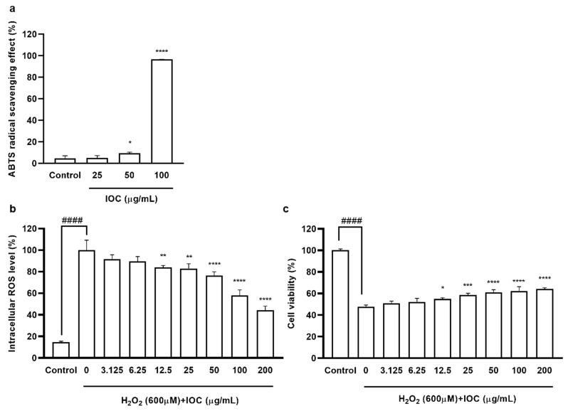
Sulfated polysaccharides extracted from brown algae are unique algal polysaccharides and potential ingredients in the cosmeceutical, functional food, and pharmaceutical industries. Therefore, the present study evaluated the cosmeceutical effects, including antioxidant, anti-wrinkle, anti-inflammation, and photoprotective activities, of Celluclast extract (IOC). The IOC was abundant in sulfated polysaccharides (48.47%), polysaccharides (44.33%), and fucose (43.50%). Moreover, the IOC effectively scavenged free radicals, and its anti-inflammatory properties were confirmed in lipopolysaccharide-induced RAW 264.7 macrophages; therefore, the IOC may produce auxiliary effects by inhibiting reactive oxygen species (ROS). In vitro (Vero cells) and in vivo (zebrafish) studies further confirmed that the IOC produced a protective effect against hydrogen-peroxide-induced oxidative stress in a dose-dependent manner. In addition, the IOC suppressed intracellular ROS and apoptosis and enhanced HO-1 and SOD-1 expression through transcriptional activation of Nrf2 and downregulation of Keap1 in HaCaT cells. Furthermore, the IOC exhibited a potent protective effect against ultraviolet-B-induced skin damage and photoaging. In conclusion, the IOC possesses antioxidant, anti-inflammatory, and photoprotective activities, and can, therefore, be utilized in the cosmeceutical and functional food industries.
从褐藻中提取的硫酸化多糖是独特的藻类多糖,是药妆、功能性食品和制药行业的潜在成分。因此,本研究评估了纤维酶提取物(IOC)的药妆效果,包括抗氧化、抗皱、抗炎和光保护活性。IOC富含硫酸化多糖(48.47%)、多糖(44.33%)和岩藻糖(43.50%)。此外,IOC能有效清除自由基,其抗炎特性在脂多糖诱导的RAW 264.7巨噬细胞中得到证实;因此,IOC可能通过抑制活性氧(ROS)产生辅助作用。体外(Vero细胞)和体内(斑马鱼)研究进一步证实,IOC对过氧化氢诱导的氧化应激具有剂量依赖性的保护作用。此外,IOC通过Nrf2的转录激活和HaCaT细胞中Keap1的下调,抑制细胞内ROS和细胞凋亡,并增强HO-1和SOD-1的表达。此外,IOC对紫外线B诱导的皮肤损伤和光老化具有显著的保护作用。总之,IOC具有抗氧化、抗炎和光保护活性,因此可用于药妆和功能性食品行业。