Department of Reproductive Health, Shenzhen Baoan Women's and Children's Hospital, Jinan University, Shenzhen 518102, China.
Department of Biobank, Shenzhen Baoan Women's and Children's Hospital, Jinan University, Shenzhen 518102, China.
Cells. 2022 Dec 9;11(24):3989. doi: 10.3390/cells11243989.
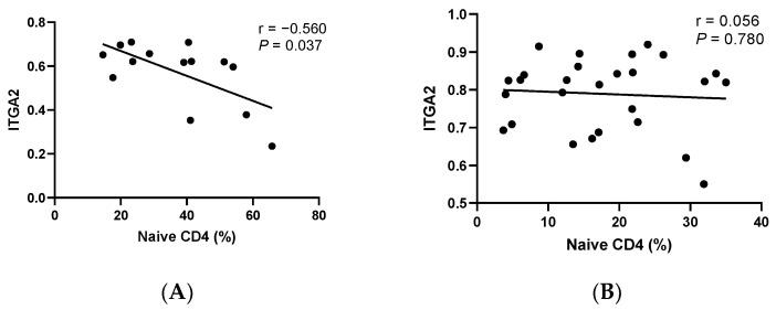
DNA methylation is a part of the regulatory mechanisms of gene expression, including chromatin remodeling and the activity of microRNAs, which are involved in the regulation of T-cell differentiation and function. However, the role of cfDNA methylation in T-cell differentiation is entirely unknown. In patients with endometrial polyps (EPs), we have found an imbalance of T-cell differentiation and an aberrant cfDNA methylation profile, respectively. In this study, we investigated the relationship between cfDNA methylation profiles and T-cell differentiation in 14 people with EPs and 27 healthy controls. We found that several differentially methylated genes (DMGs) were associated with T-cell differentiation in people with EPs (-Naïve CD4, -0.560, 0.037; -EMRA CD4, -0.626, 0.017; and -CM CD8, 0.576, 0.031), but not in healthy controls (all > 0.05). When we combined the patients' characteristics, we found a significant association between methylation and polyp diameter ( 0.562, 0.036), but this effect was lost when adjusting the level of Naïve CD4 T-cells ( 0.038, 0.903). Moreover, the circulating sex hormone levels were associated with T-cell differentiation (estradiol-Naïve CD4, -0.589, 0.027), and the cfDNA methylation profile (testosterone-, -0.656, 0.011). In conclusion, this study has established a link between cfDNA methylation profiles and T-cell differentiation among people with EPs, which may contribute to the etiology of EPs. Further functional studies are warranted.
DNA 甲基化是基因表达调控机制的一部分,包括染色质重塑和 microRNA 的活性,它们参与 T 细胞分化和功能的调节。然而,cfDNA 甲基化在 T 细胞分化中的作用尚完全未知。在子宫内膜息肉(EP)患者中,我们分别发现了 T 细胞分化失衡和 cfDNA 甲基化谱异常。在这项研究中,我们调查了 14 名 EP 患者和 27 名健康对照者 cfDNA 甲基化谱与 T 细胞分化之间的关系。我们发现,在 EP 患者中,一些差异甲基化基因(DMG)与 T 细胞分化有关(-幼稚 CD4,-0.560,0.037;-EMRA CD4,-0.626,0.017;-CM CD8,0.576,0.031),但在健康对照组中则不然(均>0.05)。当我们将患者的特征结合起来时,我们发现甲基化与息肉直径之间存在显著关联(0.562,0.036),但在调整幼稚 CD4 T 细胞水平后,这种效应消失(0.038,0.903)。此外,循环性激素水平与 T 细胞分化(雌二醇-幼稚 CD4,-0.589,0.027)和 cfDNA 甲基化谱(睾酮-,-0.656,0.011)有关。总之,本研究在 EP 患者中建立了 cfDNA 甲基化谱与 T 细胞分化之间的联系,这可能有助于 EP 的发病机制。需要进一步的功能研究。