Suppr超能文献

扩散张量成像和动态对比增强磁共振成像与滑膜炎症的分子标志物相关。

Diffusion Tensor and Dynamic Contrast-Enhanced Magnetic Resonance Imaging Correlate with Molecular Markers of Inflammation in the Synovium.

作者信息

Tripathi Deepak, Awasthi Rishi, Agarwal Vikas, Agrawal Vinita, Rathore Ram Kishore Singh, Sharma Kusum, Pandey Chandra Mani, Gupta Rakesh Kumar

机构信息

Department of Clinical Immunology and Rheumatology, Sanjay Gandhi Post Graduate Institute of Medical Sciences, Lucknow 226014, UP, India.

Department of Radiodiagnosis, Sanjay Gandhi Post Graduate Institute of Medical Sciences, Lucknow 226014, UP, India.

出版信息

Diagnostics (Basel). 2022 Dec 5;12(12):3041. doi: 10.3390/diagnostics12123041.

Abstract

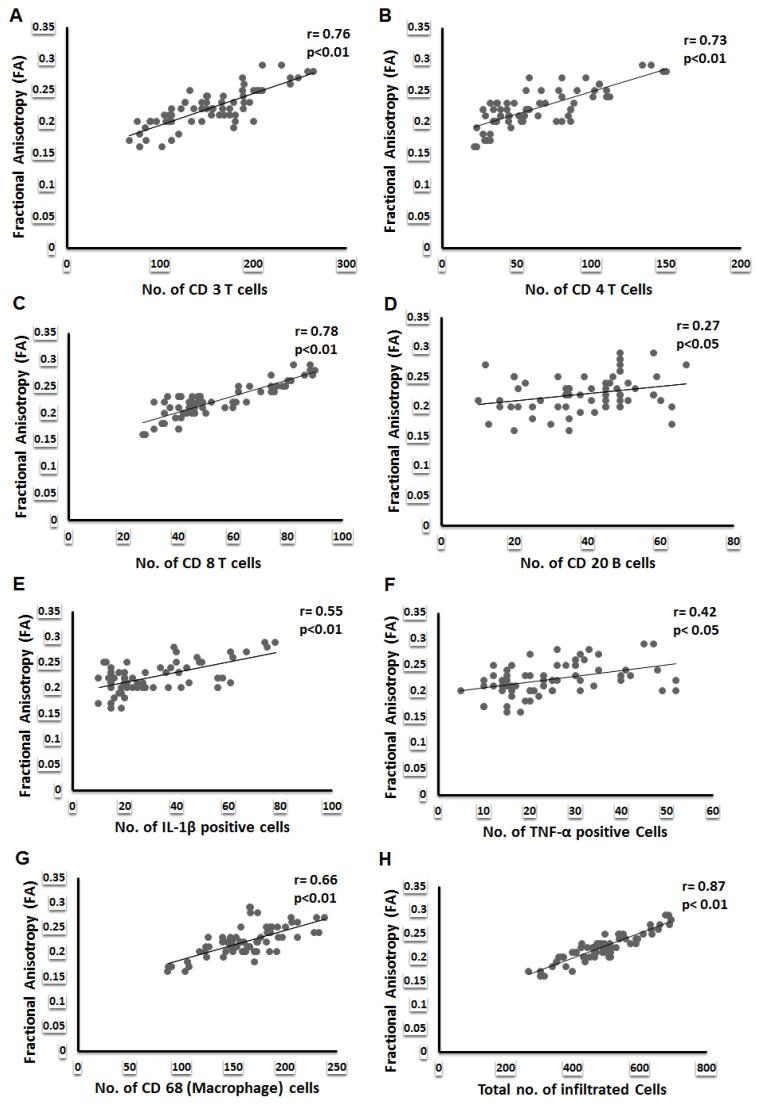
Objectives: It is difficult to capture the severity of synovial inflammation on imaging. Herein we hypothesize that diffusion tensor imaging (DTI) derived metrics may delineate the aggregation of the inflammatory cells and expression of inflammatory cytokines and dynamic contrast-enhanced (DCE) imaging may provide information regarding vascularity in the inflamed synovium. Patients and methods: Patients with knee arthritis (>3-months duration) underwent conventional (T2-weighted fast spin echo and spin echo T1-weighted images) as well as DTI and DCE MRI and thereafter arthroscopic guided synovial biopsy. DCE and DTI metrics were extracted from the masks of the segments of the inflamed synovium which enhanced on post-contrast T1-weighted MRI. These metrics were correlated with immunohistochemistry (IHC) parameters of inflammation on synovium. Statistical analysis: Pearson’s correlation was performed to study the relationship between DTI- and DCE-derived metrics, IHC parameters, and post-contrast signal intensity. Linear regression model was used to predict the values of IHC parameters using various DTI and DCE derived metrics as predictors. Results: There were 80 patients (52 male) with mean age 39.78 years and mean disease duration 19.82 months. Nineteen patients had tuberculosis and the rest had chronic undifferentiated monoarthritis (n = 31), undifferentiated spondyloarthropathy (n = 14), rheumatoid arthritis (n = 6), osteoarthritis (n = 4), reactive arthritis (n = 3), ankylosing spondylitis (n = 2), and juvenile idiopathic arthritis (n = 1). Fractional anisotropy (FA), a metric of DTI, had significant correlation with number of immune cells (r = 0.87, p < 0.01) infiltrating into the synovium and cytokines (IL-1β, r = 0.55, p < 0.01; TNF-α, r = 0.42, p < 0.01) in all patients and also in each group of patients and adhesion molecule expressed on these cells in all patients (CD54, r = 0.51, p < 0.01). DCE parameters significantly correlated with CD34 (blood flow, r = 0.78, p < 0.01; blood volume, r = 0.76, p < 0.01) in each group of patients, a marker of neo-angiogenesis. FA was the best predictor of infiltrating inflammatory cells, adhesion molecule and proinflammatory cytokines. Amongst the DCE parameters, blood volume, was best predictor of CD34. Conclusion: DTI and DCE metrics capture cellular and molecular markers of synovial inflammation in patients with chronic inflammatory arthritis.

摘要

目的

在影像学上难以捕捉滑膜炎症的严重程度。在此,我们假设扩散张量成像(DTI)衍生指标可能描绘炎症细胞的聚集和炎症细胞因子的表达,而动态对比增强(DCE)成像可能提供有关炎症滑膜血管情况的信息。

患者与方法

患有膝关节关节炎(病程>3个月)的患者接受了传统检查(T2加权快速自旋回波和自旋回波T1加权图像)以及DTI和DCE磁共振成像(MRI)检查,之后进行关节镜引导下的滑膜活检。DCE和DTI指标从对比剂增强后T1加权MRI上强化的炎症滑膜节段的掩膜中提取。这些指标与滑膜炎症的免疫组织化学(IHC)参数相关。

统计分析

采用Pearson相关性分析研究DTI和DCE衍生指标、IHC参数以及对比剂增强后信号强度之间的关系。使用线性回归模型,以各种DTI和DCE衍生指标作为预测因子来预测IHC参数的值。

结果

共有80例患者(52例男性),平均年龄39.78岁,平均病程19.82个月。19例患者患有结核病,其余患者患有慢性未分化单关节炎(n = 31)、未分化脊柱关节病(n = 14)、类风湿关节炎(n = 6)、骨关节炎(n = 4)、反应性关节炎(n = 3)、强直性脊柱炎(n = 2)和幼年特发性关节炎(n = 1)。DTI指标分数各向异性(FA)与浸润到滑膜中的免疫细胞数量(r = 0.87,p < 0.01)以及所有患者和每组患者中的细胞因子(IL-1β,r = 0.55,p < 0.01;TNF-α,r = 0.42,p < 0.01)以及所有患者这些细胞上表达的黏附分子(CD54,r = 0.51,p < 0.01)显著相关。DCE参数与每组患者中作为新生血管生成标志物的CD34显著相关(血流,r = 0.78,p < 0.01;血容量,r = 0.76,p < 0.01)。FA是浸润性炎症细胞、黏附分子和促炎细胞因子的最佳预测因子。在DCE参数中,血容量是CD34的最佳预测因子。

结论

DTI和DCE指标可捕捉慢性炎症性关节炎患者滑膜炎症的细胞和分子标志物。

https://cdn.ncbi.nlm.nih.gov/pmc/blobs/6349/9776499/61be652dd5ea/diagnostics-12-03041-g001.jpg

文献AI研究员

20分钟写一篇综述,助力文献阅读效率提升50倍。

立即体验

用中文搜PubMed

大模型驱动的PubMed中文搜索引擎

马上搜索

文档翻译

学术文献翻译模型,支持多种主流文档格式。

立即体验