Suppr超能文献

不同温度和应变速率下MarBN钢的拉伸行为、本构模型及变形机制

Tensile Behavior, Constitutive Model, and Deformation Mechanisms of MarBN Steel at Various Temperatures and Strain Rates.

作者信息

Cai Yifan, Wang Quanyi, Liu Meng, Jiang Yunqing, Zou Tongfei, Wang Yunru, Li Qingsong, Pei Yubing, Zhang Hong, Liu Yongjie, Wang Qingyuan

机构信息

Failure Mechanics and Engineering Disaster Prevention and Mitigation Key Laboratory of Sichuan Province, College of Architecture and Environment, Sichuan University, Chengdu 610065, China.

Key Laboratory of Deep Underground Science and Engineering, Ministry of Education, Sichuan University, Chengdu 610065, China.

出版信息

Materials (Basel). 2022 Dec 7;15(24):8745. doi: 10.3390/ma15248745.

Abstract

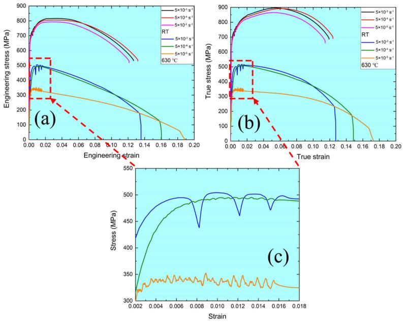
To reduce harmful gas emission and improve the operational efficiency, advanced ultra-supercritical power plants put forward higher requirements on the high temperature mechanical properties of applied materials. In this paper, the tensile behavior and deformation mechanisms of MarBN steel are discussed at different strain rates (5 × 10 s, 5 × 10 s, and 5 × 10 s) under room temperature and 630 °C. The results show that the tensile behavior of the alloy is dependent on temperature and strain rate, which derived from the balance between the average dislocation velocity and dislocation density. Furthermore, observed dynamic recrystallized grains under severe deformation reveal the existence of dynamic recovery at 630 °C, which increases the elongation compared to room temperature. Finally, three typical constitutive equations are used to quantitatively describe the tensile deformation behavior of MarBN steel under different strain rates and temperatures. Meanwhile, the constitutive model of flow stress for MarBN steel is developed based on the hyperbolic sine law.

摘要

为减少有害气体排放并提高运行效率,先进超超临界发电厂对所用材料的高温力学性能提出了更高要求。本文讨论了MarBN钢在室温及630℃下不同应变速率(5×10⁻⁵s⁻¹、5×10⁻⁴s⁻¹和5×10⁻³s⁻¹)下的拉伸行为及变形机制。结果表明,合金的拉伸行为取决于温度和应变速率,这源于平均位错速度与位错密度之间的平衡。此外,在严重变形下观察到的动态再结晶晶粒揭示了630℃时动态回复的存在,与室温相比,这增加了伸长率。最后,使用三个典型的本构方程定量描述了MarBN钢在不同应变速率和温度下的拉伸变形行为。同时,基于双曲正弦定律建立了MarBN钢的流动应力本构模型。

https://cdn.ncbi.nlm.nih.gov/pmc/blobs/416a/9785105/12563e8e2dff/materials-15-08745-g001.jpg

文献AI研究员

20分钟写一篇综述,助力文献阅读效率提升50倍。

立即体验

用中文搜PubMed

大模型驱动的PubMed中文搜索引擎

马上搜索

文档翻译

学术文献翻译模型,支持多种主流文档格式。

立即体验