Suppr超能文献

四种氧化锌纳米结构的热电、电化学及介电性能

Thermoelectric, Electrochemical, & Dielectric Properties of Four ZnO Nanostructures.

作者信息

Rathnasekara Rusiri, Mayberry Grant, Hari Parameswar

机构信息

Department of Physics and Engineering Physics, University of Tulsa, Tulsa, OK 74104, USA.

Oklahoma Photovoltaic Research Institute, University of Tulsa, Tulsa, OK 74104, USA.

出版信息

Materials (Basel). 2022 Dec 9;15(24):8816. doi: 10.3390/ma15248816.

Abstract

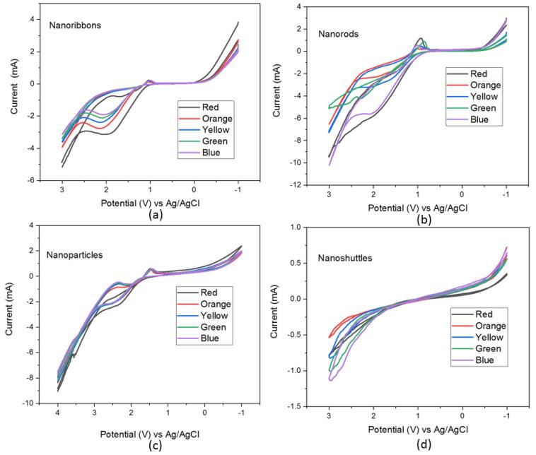
In this work, we investigated the thermoelectric, electrochemical, and dielectric properties of four different ZnO morphologies, namely nanoribbons, nanorods, nanoparticles, and nanoshuttles. Temperature-dependent Seebeck coefficients were observed using thermoelectric measurements, which confirmed that all synthesized ZnO nanostructures are n-type semiconductors. The Van der Pauw method was applied to measure electrical conductivity, which was also used to calculate the thermal activation energy. Electrochemical properties were analyzed by cyclic voltammetry techniques under five different optical filters. Electrical conductivity of ZnO morphologies showed an increasing trend with increasing temperature. The highest electrical conductivity (1097.60 Ω−1 m−1) and electronic thermal conductivity (1.16×10−4 W/mK) were obtained for ZnO nanorods at 425 K, whereas ZnO nanoshuttles carried the lowest electrical conductivity (1.10 × 10−4 Ω−1 m−1) and electronic thermal conductivity (8.72 × 10−7 W/mK) at 325 K. ZnO nanorods obtained the maximum Power factor value in all temperature ranges. All nanostructures showed electro-catalytic performance with different optical filters. From impedance spectroscopy analysis, ZnO nanorods showed the highest dielectric constant at high frequencies (>1 MHz) at 2.02 ± 0.06, while ZnO nanoshuttles gave the highest dielectric constant at low frequencies (<100 Hz) at 9.69 ± 0.05. These results indicate that ZnO nanorods have the most favorable thermoelectric, electrochemical, and dielectric properties compared to all other ZnO morphologies.

摘要

在这项工作中,我们研究了四种不同形貌的ZnO(即纳米带、纳米棒、纳米颗粒和纳米梭)的热电、电化学和介电性能。通过热电测量观察了随温度变化的塞贝克系数,证实所有合成的ZnO纳米结构均为n型半导体。采用范德堡法测量电导率,并用于计算热激活能。在五种不同的光学滤光片下,通过循环伏安法技术分析电化学性能。ZnO不同形貌的电导率随温度升高呈上升趋势。在425K时,ZnO纳米棒的电导率最高(1097.60Ω−1m−1),电子热导率最高(1.16×10−4W/mK);而在325K时,ZnO纳米梭的电导率最低(1.10×10−4Ω−1m−1),电子热导率最低(8.72×10−7W/mK)。在所有温度范围内,ZnO纳米棒的功率因子值最大。所有纳米结构在不同光学滤光片下均表现出电催化性能。通过阻抗谱分析,ZnO纳米棒在高频(>1MHz)下的介电常数最高,为2.02±0.06;而ZnO纳米梭在低频(<100Hz)下的介电常数最高,为9.69±0.05。这些结果表明,与所有其他ZnO形貌相比,ZnO纳米棒具有最有利的热电、电化学和介电性能。

https://cdn.ncbi.nlm.nih.gov/pmc/blobs/7c75/9784509/cebae41ab69a/materials-15-08816-g001.jpg

文献AI研究员

20分钟写一篇综述,助力文献阅读效率提升50倍。

立即体验

用中文搜PubMed

大模型驱动的PubMed中文搜索引擎

马上搜索

文档翻译

学术文献翻译模型,支持多种主流文档格式。

立即体验