Suppr超能文献

油凝胶基人造黄油的结晶和结构性质。

Crystallization and Structural Properties of Oleogel-Based Margarine.

机构信息

State Key Laboratory of Food Science and Technology, Collaborative Innovation Center of Food Safety and Quality Control in Jiangsu Province, School of Food Science and Technology, Jiangnan University, 1800 Lihu Road, Wuxi 214122, China.

出版信息

Molecules. 2022 Dec 15;27(24):8952. doi: 10.3390/molecules27248952.

Abstract

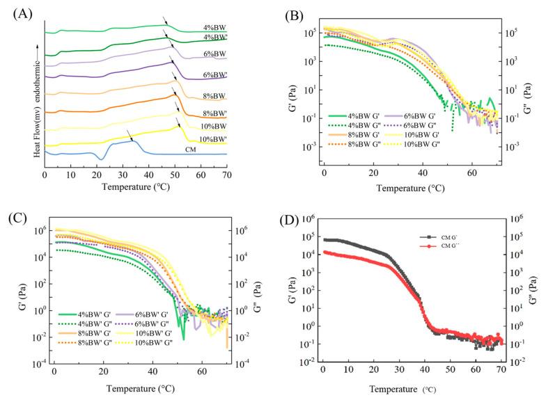
Interest in oleogel as a promising alternative to traditional hydrogenated vegetable oil has increasingly grown in recent years due to its low content of saturated fatty acids and zero trans fatty acids. This study aimed to develop wax-based margarine to replace traditional commercial margarine. The wax-based margarine was prepared and compared with commercial margarine in texture, rheology, and microscopic morphology. The possibility of preparing margarine at room temperature (non-quenched) was also explored. The results showed that the hardness of oleogel-based margarine increased as the BW concentration increased. Denser droplets and crystal network structure were observed with the increase in BW content. XRD patterns of oleogel-based margarine with different content BW were quite similar and structurally to the β' form. However, the melting temperature of oleogel-based margarine was over 40 °C at each concentration, which represented a poor mouth-melting characteristic. In addition, the unique, improved physical properties of oleogel-based margarine were obtained with binary mixtures of China lacquer wax (ZLW) and Beeswax (BW), due to the interaction of the ZLW and BW crystal network. The rapid cooling process improved the spreadability of oleogel-based margarine. The margarine prepared by 5% BW50:ZLW50 had similar properties to commercial margarine in texture and melting characteristics (37 °C), which had the potential to replace commercial margarine.

摘要

近年来,由于其低饱和脂肪酸含量和零反式脂肪酸含量,油凝胶作为传统氢化植物油的有前途替代品,引起了越来越多的关注。本研究旨在开发基于蜡的人造黄油来替代传统的商业人造黄油。制备了基于蜡的人造黄油,并在质地、流变学和微观形态方面与商业人造黄油进行了比较。还探讨了在室温下(非淬火)制备人造黄油的可能性。结果表明,随着 BW 浓度的增加,油凝胶基人造黄油的硬度增加。随着 BW 含量的增加,观察到更密集的液滴和晶体网络结构。不同 BW 含量的油凝胶基人造黄油的 XRD 图谱非常相似,结构为β'型。然而,油凝胶基人造黄油在每个浓度下的熔点均超过 40°C,表现出较差的口感融化特性。此外,由于 ZLW 和 BW 晶体网络的相互作用,从中国漆蜡(ZLW)和蜂蜡(BW)的二元混合物中获得了油凝胶基人造黄油独特的、改进的物理性质。快速冷却过程提高了油凝胶基人造黄油的延展性。5% BW50:ZLW50 制备的人造黄油在质地和熔化特性(37°C)方面与商业人造黄油具有相似的性质,具有替代商业人造黄油的潜力。

https://cdn.ncbi.nlm.nih.gov/pmc/blobs/61d5/9787469/a2272d0e59c2/molecules-27-08952-g001.jpg

文献检索

告别复杂PubMed语法,用中文像聊天一样搜索,搜遍4000万医学文献。AI智能推荐,让科研检索更轻松。

立即免费搜索

文件翻译

保留排版,准确专业,支持PDF/Word/PPT等文件格式,支持 12+语言互译。

免费翻译文档

深度研究

AI帮你快速写综述,25分钟生成高质量综述,智能提取关键信息,辅助科研写作。

立即免费体验