Department of Anesthesiology, The First Affiliated Hospital of Wenzhou Medical University, Wenzhou, China.
Department of Anesthesiology, Taizhou Central Hospital (Taizhou University Hospital), Taizhou, China.
Mediators Inflamm. 2022 Dec 15;2022:7998104. doi: 10.1155/2022/7998104. eCollection 2022.
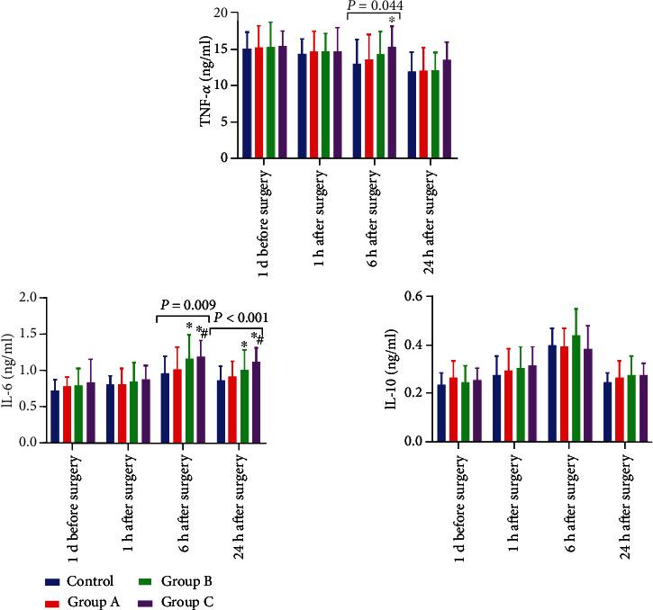
Sleep disorder dramatically affects people's physical and mental health. Here, we investigated the effect of preoperative sleep disorders on anesthesia recovery and postoperative pain in patients undergoing laparoscopic gynecological surgery under general anesthesia. 120 patients who underwent elective laparoscopic gynecological surgery under general anesthesia in Taizhou Central Hospital from November 2021 to March 2022 were included. According to the score of the Pittsburgh sleep quality index (PSQI), the participating patients were divided into four groups: control group (control group), mild sleep disorder group A (group A), moderate sleep disorder group B (group B), and severe sleep disorder group C (group C), with 30 patients in each group. The changes of mean arterial pressure (MAP) and heart rate (HR) at different time points, operation time, anesthesia time, extubation time, the time when Aldrete score reached 10 points, visual analog score (VAS) serum interleukin-6 (IL-6), interleukin-10 (IL-10), and tumor necrosis factor- (TNF-) were compared among different groups. Our study demonstrated that there were no significant differences in MAP and HR among the four groups at the same time points (all > 0.05). Significant differences in the time of extubation and Aldrete score reaching 10 points had been found among the four groups (all < 0.001), indicating more sleep disorder induced longer extubation and recovery time. There were significant differences in VAS scores among the four groups at both different and the same time points (all < 0.001), suggesting more sleep disorders induced more pain in the sufferers. Serum IL-6 levels were significantly higher in the three sleep disorder groups than the control group at 6 h and 24 h after the operation (all < 0.05), while group C has the highest IL-6 levels as compared to the other group ( = 0.09 and < 0.001, respectively). At 6 h after operation, serum levels of TNF- in group C were significantly higher than in the control group ( = 0.044), but no significant differences were found in the other two groups (all > 0.05). Positive correlation with preoperative PSQI score has been found with the times of extubation, the time of Aldrete score reaching 10 points, the VAS at 1 h, 6 h, and 24 h after operation, the level of serum IL-6 at 1 day before operation and 6 h and 24 h after operation, and the TNF- at 6 h and 24 h after operation (all < 0.001). The present study showed that the degree of preoperative sleep disorders could affect the quality of postoperative awakening and pain of patients undergoing laparoscopic gynecological surgery under general anesthesia, which might be associated with the aggravation of inflammatory reactions in the body.
睡眠障碍严重影响人们的身心健康。在这里,我们研究了术前睡眠障碍对全身麻醉下腹腔镜妇科手术患者麻醉恢复和术后疼痛的影响。
纳入 2021 年 11 月至 2022 年 3 月在台州中心医院接受全身麻醉下择期腹腔镜妇科手术的 120 例患者。根据匹兹堡睡眠质量指数(PSQI)评分,将参与患者分为四组:对照组(对照组)、轻度睡眠障碍组 A(A 组)、中度睡眠障碍组 B(B 组)和重度睡眠障碍组 C(C 组),每组 30 例。比较不同组间不同时间点平均动脉压(MAP)和心率(HR)的变化、手术时间、麻醉时间、拔管时间、Aldrete 评分达到 10 分的时间、视觉模拟评分(VAS)血清白细胞介素-6(IL-6)、白细胞介素-10(IL-10)和肿瘤坏死因子-(TNF-)。
我们的研究表明,同一时间点四组间 MAP 和 HR 无显著差异(均>0.05)。四组间拔管时间和 Aldrete 评分达到 10 分的时间有显著差异(均<0.001),表明睡眠障碍越严重,拔管和恢复时间越长。四组在不同和相同时间点的 VAS 评分均有显著差异(均<0.001),表明睡眠障碍越严重,患者疼痛越明显。与对照组相比,术后 6 小时和 24 小时,三组睡眠障碍组的血清 IL-6 水平均明显升高(均<0.05),而 C 组的 IL-6 水平最高(=0.09 和<0.001)。术后 6 小时,C 组血清 TNF-水平明显高于对照组(=0.044),但另两组无明显差异(均>0.05)。术前 PSQI 评分与拔管时间、Aldrete 评分达到 10 分时间、术后 1 小时、6 小时和 24 小时 VAS、术前 1 天和术后 6 小时和 24 小时血清 IL-6 水平、术后 6 小时和 24 小时 TNF-水平呈正相关(均<0.001)。
本研究表明,术前睡眠障碍程度可影响全身麻醉下腹腔镜妇科手术患者术后觉醒质量和疼痛程度,这可能与机体炎症反应加重有关。