Suppr超能文献

新冠疫情是否导致了劳动力市场错配?来自美国和英国的证据。

Has COVID-19 induced labor market mismatch? Evidence from the US and the UK.

作者信息

Pizzinelli Carlo, Shibata Ippei

机构信息

International Monetary Fund, United States.

出版信息

Labour Econ. 2023 Apr;81:102329. doi: 10.1016/j.labeco.2023.102329. Epub 2023 Jan 10.

Abstract

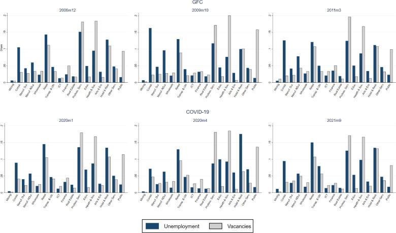
This paper studies whether labor market mismatch played an important role for employment dynamics during the COVID-19 pandemic. We apply the framework of Şahin et al. (2014) to the US and the UK to measure misallocation between job seekers and vacancies across sectors until the fourth quarter of 2021. We find that mismatch rose sharply at the onset of the pandemic but returned to previous levels within a few quarters. This implies that, as of late 2021, COVID-19 has not set in motion a large wave of structural reallocation involving significant frictions in the matching process between workers and firms. Consequently, the total loss in employment caused by the rise in mismatch has been even smaller and less persistent during the COVID-19 pandemic than during the Global Financial Crisis. The results are robust to considering alternative definitions of job searchers and to using a measure of "effective" job seekers in each sector.

摘要

本文研究了劳动力市场错配在新冠疫情期间的就业动态中是否发挥了重要作用。我们将Şahin等人(2014年)的框架应用于美国和英国,以衡量直至2021年第四季度求职者与各部门职位空缺之间的错配情况。我们发现,在疫情初期错配急剧上升,但在几个季度内又恢复到了先前水平。这意味着,截至2021年末,新冠疫情并未引发涉及工人与企业匹配过程中重大摩擦的大规模结构性重新配置浪潮。因此,在新冠疫情期间,由错配加剧导致的就业总损失甚至比全球金融危机期间更小且持续时间更短。这些结果在考虑求职者的替代定义以及使用各部门“有效”求职者的衡量标准时是稳健的。

https://cdn.ncbi.nlm.nih.gov/pmc/blobs/768b/9830905/f02f563b74d5/gr1_lrg.jpg

相似文献

1
Has COVID-19 induced labor market mismatch? Evidence from the US and the UK.
Labour Econ. 2023 Apr;81:102329. doi: 10.1016/j.labeco.2023.102329. Epub 2023 Jan 10.
2
Automation and sectoral reallocation.
SERIEs (Berl). 2022;13(1-2):335-362. doi: 10.1007/s13209-021-00240-w. Epub 2021 Jul 30.
3
Labor market frictions, capital, taxes and employment.
Int Tax Public Financ. 2021;28(6):1329-1359. doi: 10.1007/s10797-020-09649-8. Epub 2021 Jan 4.
4
Studying the UK job market during the COVID-19 crisis with online job ads.
PLoS One. 2021 May 27;16(5):e0251431. doi: 10.1371/journal.pone.0251431. eCollection 2021.
5
Critical reflections on the currently leading definition of sustainable employability.
Scand J Work Environ Health. 2016 Jun 1;42(6):557-560. doi: 10.5271/sjweh.3585. Epub 2016 Aug 22.
6
COVID-19 and automation in a developing economy: Evidence from Chile.
Technol Forecast Soc Change. 2022 Mar;176:121373. doi: 10.1016/j.techfore.2021.121373. Epub 2021 Nov 25.
7
Authors' response: Occupation and SARS-CoV-2 infection risk among workers during the first pandemic wave in Germany: potential for bias.
Scand J Work Environ Health. 2022 Sep 1;48(7):588-590. doi: 10.5271/sjweh.4061. Epub 2022 Sep 25.
8
Reducing unemployment benefit duration to increase job finding rates: a systematic review.
Campbell Syst Rev. 2018 Feb 28;14(1):1-194. doi: 10.4073/csr.2018.2. eCollection 2018.
9
Job Flows Into and Out of Health Care Before and After the COVID-19 Pandemic.
JAMA Health Forum. 2024 Jan 5;5(1):e234964. doi: 10.1001/jamahealthforum.2023.4964.
10
The distributional impact of recessions: The global financial crisis and the COVID-19 pandemic recession.
J Econ Bus. 2021 May-Jun;115:105971. doi: 10.1016/j.jeconbus.2020.105971. Epub 2020 Dec 8.

引用本文的文献

2
The short-term impact of the 2020 pandemic lockdown on employment in Greece.
Empir Econ. 2023 Feb 16:1-35. doi: 10.1007/s00181-023-02381-2.
3
Search and reallocation in the COVID-19 pandemic: Evidence from the UK.
Labour Econ. 2023 Apr;81:102328. doi: 10.1016/j.labeco.2023.102328. Epub 2023 Jan 13.

本文引用的文献

1
Search and reallocation in the COVID-19 pandemic: Evidence from the UK.
Labour Econ. 2023 Apr;81:102328. doi: 10.1016/j.labeco.2023.102328. Epub 2023 Jan 13.
2
Heterogeneous Labor Market Impacts of the COVID-19 Pandemic.
Ind Labor Relat Rev. 2023 Jan;76(1):30-55. doi: 10.1177/00197939221076856.
3
The distributional impact of recessions: The global financial crisis and the COVID-19 pandemic recession.
J Econ Bus. 2021 May-Jun;115:105971. doi: 10.1016/j.jeconbus.2020.105971. Epub 2020 Dec 8.
4
How many jobs can be done at home?
J Public Econ. 2020 Sep;189:104235. doi: 10.1016/j.jpubeco.2020.104235. Epub 2020 Jul 9.

文献AI研究员

20分钟写一篇综述,助力文献阅读效率提升50倍。

立即体验

用中文搜PubMed

大模型驱动的PubMed中文搜索引擎

马上搜索

文档翻译

学术文献翻译模型,支持多种主流文档格式。

立即体验