• 文献检索
  • 文档翻译
  • 深度研究
  • 学术资讯
  • Suppr Zotero 插件Zotero 插件
  • 邀请有礼
  • 套餐&价格
  • 历史记录
应用&插件
Suppr Zotero 插件Zotero 插件浏览器插件Mac 客户端Windows 客户端微信小程序
定价
高级版会员购买积分包购买API积分包
服务
文献检索文档翻译深度研究API 文档MCP 服务
关于我们
关于 Suppr公司介绍联系我们用户协议隐私条款
关注我们

Suppr 超能文献

核心技术专利:CN118964589B侵权必究
粤ICP备2023148730 号-1Suppr @ 2026

文献检索

告别复杂PubMed语法,用中文像聊天一样搜索,搜遍4000万医学文献。AI智能推荐,让科研检索更轻松。

立即免费搜索

文件翻译

保留排版,准确专业,支持PDF/Word/PPT等文件格式,支持 12+语言互译。

免费翻译文档

深度研究

AI帮你快速写综述,25分钟生成高质量综述,智能提取关键信息,辅助科研写作。

立即免费体验

一种新型的自适应 PD 型迭代学习控制方法,用于解决低速时永磁同步电机伺服系统的摩擦不确定性问题。

A novel adaptive PD-type iterative learning control of the PMSM servo system with the friction uncertainty in low speeds.

机构信息

School of Automation, Northwestern Polytechnical University, Shaanxi, Xi'an, PR China.

Department of Electrical-Electronics Engineering, Adana Alparslan Turkes Science and Technology University, Adana, Türkiye.

出版信息

PLoS One. 2023 Jan 18;18(1):e0279253. doi: 10.1371/journal.pone.0279253. eCollection 2023.

DOI:10.1371/journal.pone.0279253
PMID:36652489
原文链接:https://pmc.ncbi.nlm.nih.gov/articles/PMC9847981/
Abstract

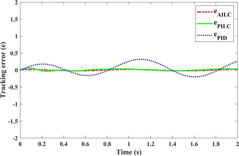
High precision demands in a large number of emerging robotic applications strengthened the role of the modern control laws in the position control of the Permanent Magnet Synchronous Motor (PMSM) servo system. This paper proposes a learning-based adaptive control approach to improve the PMSM position tracking in the presence of the friction uncertainty. In contrast to most of the reported works considering the servos operating at high speeds, this paper focuses on low speeds in which the friction stemmed deteriorations become more obvious. In this paper firstly, a servo model involving the Stribeck friction dynamics is formulated, and the unknown friction parameters are identified by a genetic algorithm from the offline data. Then, a feedforward controller is designed to inject the friction information into the loop and eliminate it before causing performance degradations. Since the friction is a kind of disturbance and leads to uncertainties having time-varying characters, an Adaptive Proportional Derivative (APD) type Iterative Learning Controller (ILC) named as the APD-ILC is designed to mitigate the friction effects. Finally, the proposed control approach is simulated in MATLAB/Simulink environment and it is compared with the conventional Proportional Integral Derivative (PID) controller, Proportional ILC (P-ILC), and Proportional Derivative ILC (PD-ILC) algorithms. The results confirm that the proposed APD-ILC significantly lessens the effects of the friction and thus noticeably improves the control performance in the low speeds of the PMSM.

摘要

在大量新兴机器人应用中对高精度的需求增强了现代控制律在永磁同步电机(PMSM)伺服系统位置控制中的作用。本文提出了一种基于学习的自适应控制方法,以提高 PMSM 在存在摩擦不确定性时的位置跟踪性能。与大多数考虑高速运行的伺服系统的报告工作相比,本文侧重于低速情况,其中摩擦引起的恶化变得更加明显。本文首先建立了一个包含斯特里贝克摩擦动力学的伺服模型,并通过遗传算法从离线数据中识别未知的摩擦参数。然后,设计了一个前馈控制器,将摩擦信息注入到回路中,并在性能下降之前将其消除。由于摩擦是一种干扰,会导致具有时变特性的不确定性,因此设计了一种自适应比例微分(APD)型迭代学习控制器(ILC),称为 APD-ILC,以减轻摩擦的影响。最后,在 MATLAB/Simulink 环境中对所提出的控制方法进行了仿真,并与传统的比例积分微分(PID)控制器、比例迭代学习控制器(P-ILC)和比例微分迭代学习控制器(PD-ILC)算法进行了比较。结果表明,所提出的 APD-ILC 显著减轻了摩擦的影响,从而显著提高了 PMSM 低速时的控制性能。

https://cdn.ncbi.nlm.nih.gov/pmc/blobs/e192/9847981/1c5acb91a4b0/pone.0279253.g014.jpg
https://cdn.ncbi.nlm.nih.gov/pmc/blobs/e192/9847981/10f2a78a28f6/pone.0279253.g001.jpg
https://cdn.ncbi.nlm.nih.gov/pmc/blobs/e192/9847981/abb7d621d367/pone.0279253.g002.jpg
https://cdn.ncbi.nlm.nih.gov/pmc/blobs/e192/9847981/90a17e1f4928/pone.0279253.g003.jpg
https://cdn.ncbi.nlm.nih.gov/pmc/blobs/e192/9847981/bd61447a3606/pone.0279253.g004.jpg
https://cdn.ncbi.nlm.nih.gov/pmc/blobs/e192/9847981/1bfd391d233a/pone.0279253.g005.jpg
https://cdn.ncbi.nlm.nih.gov/pmc/blobs/e192/9847981/5b162a9075e6/pone.0279253.g006.jpg
https://cdn.ncbi.nlm.nih.gov/pmc/blobs/e192/9847981/d05adc0da4b3/pone.0279253.g007.jpg
https://cdn.ncbi.nlm.nih.gov/pmc/blobs/e192/9847981/1245da6d2ea2/pone.0279253.g008.jpg
https://cdn.ncbi.nlm.nih.gov/pmc/blobs/e192/9847981/f50bbe1e68ac/pone.0279253.g009.jpg
https://cdn.ncbi.nlm.nih.gov/pmc/blobs/e192/9847981/dbf2f630fc67/pone.0279253.g010.jpg
https://cdn.ncbi.nlm.nih.gov/pmc/blobs/e192/9847981/5282fb601d5d/pone.0279253.g011.jpg
https://cdn.ncbi.nlm.nih.gov/pmc/blobs/e192/9847981/807ed08ed0ee/pone.0279253.g012.jpg
https://cdn.ncbi.nlm.nih.gov/pmc/blobs/e192/9847981/745e996de56b/pone.0279253.g013.jpg
https://cdn.ncbi.nlm.nih.gov/pmc/blobs/e192/9847981/1c5acb91a4b0/pone.0279253.g014.jpg
https://cdn.ncbi.nlm.nih.gov/pmc/blobs/e192/9847981/10f2a78a28f6/pone.0279253.g001.jpg
https://cdn.ncbi.nlm.nih.gov/pmc/blobs/e192/9847981/abb7d621d367/pone.0279253.g002.jpg
https://cdn.ncbi.nlm.nih.gov/pmc/blobs/e192/9847981/90a17e1f4928/pone.0279253.g003.jpg
https://cdn.ncbi.nlm.nih.gov/pmc/blobs/e192/9847981/bd61447a3606/pone.0279253.g004.jpg
https://cdn.ncbi.nlm.nih.gov/pmc/blobs/e192/9847981/1bfd391d233a/pone.0279253.g005.jpg
https://cdn.ncbi.nlm.nih.gov/pmc/blobs/e192/9847981/5b162a9075e6/pone.0279253.g006.jpg
https://cdn.ncbi.nlm.nih.gov/pmc/blobs/e192/9847981/d05adc0da4b3/pone.0279253.g007.jpg
https://cdn.ncbi.nlm.nih.gov/pmc/blobs/e192/9847981/1245da6d2ea2/pone.0279253.g008.jpg
https://cdn.ncbi.nlm.nih.gov/pmc/blobs/e192/9847981/f50bbe1e68ac/pone.0279253.g009.jpg
https://cdn.ncbi.nlm.nih.gov/pmc/blobs/e192/9847981/dbf2f630fc67/pone.0279253.g010.jpg
https://cdn.ncbi.nlm.nih.gov/pmc/blobs/e192/9847981/5282fb601d5d/pone.0279253.g011.jpg
https://cdn.ncbi.nlm.nih.gov/pmc/blobs/e192/9847981/807ed08ed0ee/pone.0279253.g012.jpg
https://cdn.ncbi.nlm.nih.gov/pmc/blobs/e192/9847981/745e996de56b/pone.0279253.g013.jpg
https://cdn.ncbi.nlm.nih.gov/pmc/blobs/e192/9847981/1c5acb91a4b0/pone.0279253.g014.jpg

相似文献

1
A novel adaptive PD-type iterative learning control of the PMSM servo system with the friction uncertainty in low speeds.一种新型的自适应 PD 型迭代学习控制方法,用于解决低速时永磁同步电机伺服系统的摩擦不确定性问题。
PLoS One. 2023 Jan 18;18(1):e0279253. doi: 10.1371/journal.pone.0279253. eCollection 2023.
2
Cogging effect minimization in PMSM position servo system using dual high-order periodic adaptive learning compensation.采用双高次周期自适应学习补偿的永磁同步电机位置伺服系统齿槽效应最小化。
ISA Trans. 2010 Oct;49(4):479-88. doi: 10.1016/j.isatra.2010.05.003.
3
High Precision Low-Speed Control for Permanent Magnet Synchronous Motor.永磁同步电动机的高精度低速控制
Sensors (Basel). 2020 Mar 10;20(5):1526. doi: 10.3390/s20051526.
4
Fast integral terminal sliding mode control with a novel disturbance observer based on iterative learning for speed control of PMSM.基于迭代学习的新型干扰观测器的快速积分终端滑模控制在永磁同步电机速度控制中的应用。
ISA Trans. 2023 Mar;134:460-471. doi: 10.1016/j.isatra.2022.07.029. Epub 2022 Aug 23.
5
Optimal Fractional-Order Active Disturbance Rejection Controller Design for PMSM Speed Servo System.永磁同步电机速度伺服系统的最优分数阶自抗扰控制器设计
Entropy (Basel). 2021 Feb 24;23(3):262. doi: 10.3390/e23030262.
6
Torque ripple attenuation of PMSM using improved robust two-degree-of-freedom controller via extended sliding mode parameter observer.基于扩展滑模参数观测器的改进型鲁棒二自由度控制器对永磁同步电机转矩脉动的抑制
ISA Trans. 2022 Oct;129(Pt B):558-571. doi: 10.1016/j.isatra.2022.01.033. Epub 2022 Feb 7.
7
Iterative Learning-Based Negative Effect Compensation Control of Disturbance to Improve the Disturbance Isolation of System.基于迭代学习的负效应补偿控制干扰,提高系统的抗扰隔离度。
Sensors (Basel). 2022 May 2;22(9):3464. doi: 10.3390/s22093464.
8
Robust adaptive direct speed control of PMSG-based airborne wind energy system using FCS-MPC method.基于FCS-MPC方法的永磁同步发电机(PMSG)型机载风能系统的鲁棒自适应直接速度控制
ISA Trans. 2022 Dec;131:43-60. doi: 10.1016/j.isatra.2022.04.035. Epub 2022 May 3.
9
Data-driven adaptive fractional order PI control for PMSM servo system with measurement noise and data dropouts.
ISA Trans. 2018 Apr;75:172-188. doi: 10.1016/j.isatra.2018.02.018. Epub 2018 Feb 24.
10
Stable adaptive PI control for permanent magnet synchronous motor drive based on improved JITL technique.基于改进的 JITL 技术的永磁同步电机驱动的稳定自适应 PI 控制。
ISA Trans. 2013 Jul;52(4):539-49. doi: 10.1016/j.isatra.2013.03.002. Epub 2013 May 6.

引用本文的文献

1
An adaptive predefined time sliding mode control for uncertain nonlinear cyber-physical servo system under cyber attacks.网络攻击下不确定非线性信息物理伺服系统的自适应预定义时间滑模控制
Sci Rep. 2024 Mar 28;14(1):7361. doi: 10.1038/s41598-024-57775-8.
2
Adaptive optimal control of under-actuated robotic systems using a self-regulating nonlinear weight-adjustment scheme: Formulation and experimental verification.使用自调节非线性权重调整方案对欠驱动机器人系统进行自适应最优控制:公式推导与实验验证。
PLoS One. 2023 Dec 8;18(12):e0295153. doi: 10.1371/journal.pone.0295153. eCollection 2023.
3
A trajectory tracking control system for paddle boat in intelligent aquaculture.

本文引用的文献

1
A Simplified Fractional Order PID Controller's Optimal Tuning: A Case Study on a PMSM Speed Servo.一种简化的分数阶PID控制器的优化整定:以永磁同步电机速度伺服系统为例
Entropy (Basel). 2021 Jan 20;23(2):130. doi: 10.3390/e23020130.
2
An adaptive PID-type sliding mode learning compensation of torque ripple in PMSM position servo systems towards energy efficiency.一种面向能量效率的永磁同步电机位置伺服系统中转矩脉动的自适应PID型滑模学习补偿方法。
ISA Trans. 2021 Apr;110:258-270. doi: 10.1016/j.isatra.2020.10.045. Epub 2020 Oct 19.
3
Neural-network approximation of piecewise continuous functions: application to friction compensation.
智能水产养殖中桨船的轨迹跟踪控制系统。
PLoS One. 2023 Aug 17;18(8):e0290246. doi: 10.1371/journal.pone.0290246. eCollection 2023.
分段连续函数的神经网络逼近:在摩擦补偿中的应用
IEEE Trans Neural Netw. 2002;13(3):745-51. doi: 10.1109/TNN.2002.1000141.