Suppr超能文献

1,4-萘醌类化合物通过阻断 RAW 264.7 巨噬细胞细胞 P2X7 嘌呤能受体发挥抗炎活性。

Anti-Inflammatory Activity of 1,4-Naphthoquinones Blocking P2X7 Purinergic Receptors in RAW 264.7 Macrophage Cells.

机构信息

G.B. Elyakov Pacific Institute of Bioorganic Chemistry, Far-Eastern Branch of the Russian Academy of Sciences, Vladivostok 690022, Russia.

出版信息

Toxins (Basel). 2023 Jan 5;15(1):47. doi: 10.3390/toxins15010047.

Abstract

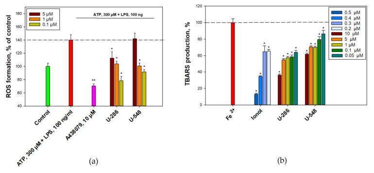
P2X7 receptors are ligand-gated ion channels activated by ATP and play a significant role in cellular immunity. These receptors are considered as a potential therapeutic target for the treatment of multiple inflammatory diseases. In the present work, using spectrofluorimetry, spectrophotometry, Western blotting and ELISA approaches, the ability of 1,4-naphthoquinone thioglucoside derivatives, compounds and , to inhibit inflammation induced by ATP/LPS in RAW 264.7 cells via P2X7 receptors was demonstrated. It has been established that the selected compounds were able to inhibit ATP-induced calcium influx and the production of reactive oxygen species, and they also exhibited pronounced antioxidant activity in mouse brain homogenate. In addition, compounds and decreased the LPS-induced activity of the COX-2 enzyme, the release of pro-inflammatory cytokines TNF-α and IL-1β in RAW 264.7 cells, and significantly protected macrophage cells against the toxic effects of ATP and LPS. This study highlights the use of 1,4-naphthoquinones as promising purinergic P2X7 receptor antagonists with anti-inflammatory activity. Based on the data obtained, studied synthetic 1,4-NQs can be considered as potential scaffolds for the development of new anti-inflammatory and analgesic drugs.

摘要

P2X7 受体是由 ATP 激活的配体门控离子通道,在细胞免疫中发挥重要作用。这些受体被认为是治疗多种炎症性疾病的潜在治疗靶点。在本工作中,使用荧光光谱法、分光光度法、Western 印迹和 ELISA 方法,证明了 1,4-萘醌硫代葡萄糖苷衍生物、化合物 和 能够通过 P2X7 受体抑制 RAW 264.7 细胞中由 ATP/LPS 诱导的炎症。已经确定所选化合物能够抑制 ATP 诱导的钙内流和活性氧物质的产生,并且它们在小鼠脑匀浆中还表现出明显的抗氧化活性。此外,化合物 和 降低了 LPS 诱导的 COX-2 酶活性、RAW 264.7 细胞中促炎细胞因子 TNF-α和 IL-1β的释放,并显著保护巨噬细胞免受 ATP 和 LPS 的毒性作用。本研究强调了 1,4-萘醌作为有希望的嘌呤能 P2X7 受体拮抗剂的应用,具有抗炎活性。基于获得的数据,研究合成的 1,4-NQs 可以被认为是开发新型抗炎和镇痛药的潜在支架。

https://cdn.ncbi.nlm.nih.gov/pmc/blobs/aa8e/9864473/529e11337c9e/toxins-15-00047-g001.jpg

文献AI研究员

20分钟写一篇综述,助力文献阅读效率提升50倍。

立即体验

用中文搜PubMed

大模型驱动的PubMed中文搜索引擎

马上搜索

文档翻译

学术文献翻译模型,支持多种主流文档格式。

立即体验