Suppr超能文献

Determination of Johnson-Cook Constitutive of 15-5 PH Steel Processed by Selective Laser Melting.

作者信息

Zhang Xiaojing, Yao Wenjin, Zhu Xintao, Hu Zhiming, Zhu Wei, Huang Hongxin, Li Wenbin

机构信息

School of Mechanical Engineering, Nanjing University of Science and Technology, Nanjing 210094, China.

Aerocraft Technology Branch of Hunan Aerospace Co., Ltd., Changsha 410205, China.

出版信息

Materials (Basel). 2023 Jan 13;16(2):800. doi: 10.3390/ma16020800.

Abstract

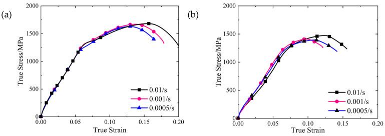
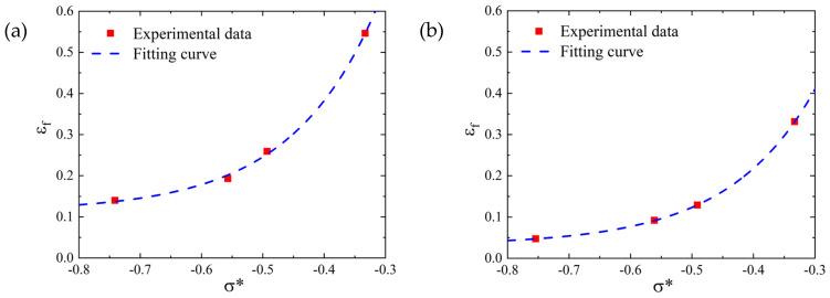
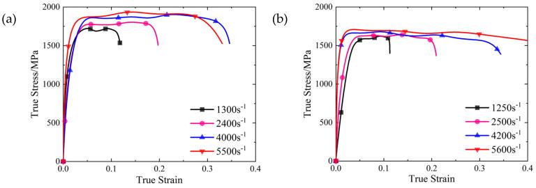
To obtain a Johnson-Cook model of 15-5 PH steel formed by selective laser melting (SLM), and to determine the difference between the forging process, in this work, mechanical testing, penetration testing and numerical simulations were used to study 15-5 PH steel formed by SLM and forging. Finally, the Johnson-Cook model parameters and failure parameters of the 15-5 PH steel formed by SLM and forging were obtained. We found that the SLM process was beneficial for refining the grain size of 15-5 PH steel and for improving the mechanical properties of 15-5 PH steel, where the yield strength of its specimens increased by 13.1% compared with the forged specimens. The error between the numerical simulations and penetration tests was less than 10%, which verified the validity of the numerical model parameters. It was also found that the penetration ability and abrasion resistance of the SLM-shaped projectiles were slightly superior to those of the forged projectiles.

摘要
https://cdn.ncbi.nlm.nih.gov/pmc/blobs/63a4/9866091/e063a23afa7f/materials-16-00800-g001.jpg

文献AI研究员

20分钟写一篇综述,助力文献阅读效率提升50倍。

立即体验

用中文搜PubMed

大模型驱动的PubMed中文搜索引擎

马上搜索

文档翻译

学术文献翻译模型,支持多种主流文档格式。

立即体验