Suppr超能文献

HTPE/PEG互穿聚合物网络(IPN)粘结剂力学性能的分子动力学模拟与实验研究

Molecular Dynamic Simulations and Experiments Study on the Mechanical Properties of HTPE/PEG Interpenetrating Polymer Network (IPN) Binders.

作者信息

Shi La, Fu Xiaolong, Li Yang, Wu Shuxin, Meng Saiqin, Wang Jiangning

机构信息

Xi'an Modern Chemistry Research Institute, Xi'an 710065, China.

出版信息

Nanomaterials (Basel). 2023 Jan 8;13(2):268. doi: 10.3390/nano13020268.

Abstract

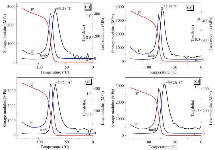
The mechanical properties of HTPE/PEG interpenetrating polymer network (IPN) binders were systemically studied with molecular dynamics (MDs) simulations and experiments. In this study, an algorithm was used to construct the crosslinking interpenetrating polymer network models and then the mechanical behaviors of Hydroxyl-terminated polyethylene glycol-tetrahydrofuran co-polyether/poly ethylene glycol (HTPE/PEG) IPN models were analyzed at a molecular scale. Firstly, glass transition temperatures (T), mean square displacement (MSD) and mechanical properties of IPN crosslinked model simulations showed that better thermomechanical parameters appeared at low temperatures, which were in good agreement with the experimental methods, including dynamic mechanical analysis and uniaxial tensile. Then bond-length distribution was performed to verify the crosslinked structures between prepolymers and curing agents. FTIR-ATR spectra analysis of four IPN binder specimens also gave a convictive result to the special interpenetrating polymer network of polyether polyurethane binders. Cohesive energy density and friction-free volume explained how the micro-structures of IPN crosslinked models and the force of inter-molecule chains affected the mechanical behaviors of the HTPE/PEG polyurethane matrix. Lastly, the morphology of IPN binder specimen tensile fracture indicated the mechanism at different temperatures. These studies were helpful in understanding the mechanical properties of HTPE/PEG interpenetrating polymer network binders and provide molecular insight into mechanisms of mechanical behaviors, which would guide the property improvement of HTPE propellant.

摘要

采用分子动力学(MDs)模拟和实验系统研究了端羟基聚醚/聚乙二醇(HTPE/PEG)互穿聚合物网络(IPN)粘结剂的力学性能。本研究中,使用一种算法构建交联互穿聚合物网络模型,然后在分子尺度上分析端羟基聚乙二醇 - 四氢呋喃共聚醚/聚乙二醇(HTPE/PEG)IPN模型的力学行为。首先,IPN交联模型模拟的玻璃化转变温度(T)、均方位移(MSD)和力学性能表明,在低温下出现了更好的热机械参数,这与包括动态力学分析和单轴拉伸在内的实验方法结果吻合良好。然后进行键长分布以验证预聚物与固化剂之间的交联结构。对四个IPN粘结剂试样的傅里叶变换红外光谱衰减全反射(FTIR - ATR)分析也为聚醚聚氨酯粘结剂特殊的互穿聚合物网络给出了令人信服的结果。内聚能密度和自由体积解释了IPN交联模型的微观结构以及分子间链的作用力如何影响HTPE/PEG聚氨酯基体的力学行为。最后,IPN粘结剂试样拉伸断裂的形态表明了不同温度下的机理。这些研究有助于理解HTPE/PEG互穿聚合物网络粘结剂的力学性能,并为力学行为机理提供分子层面的见解,这将指导HTPE推进剂性能的改进。

https://cdn.ncbi.nlm.nih.gov/pmc/blobs/cfaf/9862093/0be72db2acba/nanomaterials-13-00268-g001.jpg

文献AI研究员

20分钟写一篇综述,助力文献阅读效率提升50倍。

立即体验

用中文搜PubMed

大模型驱动的PubMed中文搜索引擎

马上搜索

文档翻译

学术文献翻译模型,支持多种主流文档格式。

立即体验