• 文献检索
  • 文档翻译
  • 深度研究
  • 学术资讯
  • Suppr Zotero 插件Zotero 插件
  • 邀请有礼
  • 套餐&价格
  • 历史记录
应用&插件
Suppr Zotero 插件Zotero 插件浏览器插件Mac 客户端Windows 客户端微信小程序
定价
高级版会员购买积分包购买API积分包
服务
文献检索文档翻译深度研究API 文档MCP 服务
关于我们
关于 Suppr公司介绍联系我们用户协议隐私条款
关注我们

Suppr 超能文献

核心技术专利:CN118964589B侵权必究
粤ICP备2023148730 号-1Suppr @ 2026

文献检索

告别复杂PubMed语法,用中文像聊天一样搜索,搜遍4000万医学文献。AI智能推荐,让科研检索更轻松。

立即免费搜索

文件翻译

保留排版,准确专业,支持PDF/Word/PPT等文件格式,支持 12+语言互译。

免费翻译文档

深度研究

AI帮你快速写综述,25分钟生成高质量综述,智能提取关键信息,辅助科研写作。

立即免费体验

普通小麦在正常和干旱处理条件下产量相关性状的全基因组关联研究。

Genome-wide association study of yield-related traits in common wheat ( L.) under normal and drought treatment conditions.

作者信息

Zhao Jie, Sun Lijing, Gao Huimin, Hu Mengyun, Mu Liming, Cheng Xiaohu, Wang Jianbing, Zhao Yun, Li Qianying, Wang Peinan, Li Hui, Zhang Yingjun

机构信息

Institute of Cereal and Oil Crops, Laboratory of Crop Genetics and Breeding of Hebei, Hebei Academy of Agriculture and Forestry Sciences, Shijiazhuang, China.

Institute of Cash Crops, Hebei Academy of Agriculture and Forestry Sciences, Shijiazhuang, China.

出版信息

Front Plant Sci. 2023 Jan 4;13:1098560. doi: 10.3389/fpls.2022.1098560. eCollection 2022.

DOI:10.3389/fpls.2022.1098560
PMID:36684753
原文链接:https://pmc.ncbi.nlm.nih.gov/articles/PMC9846334/
Abstract

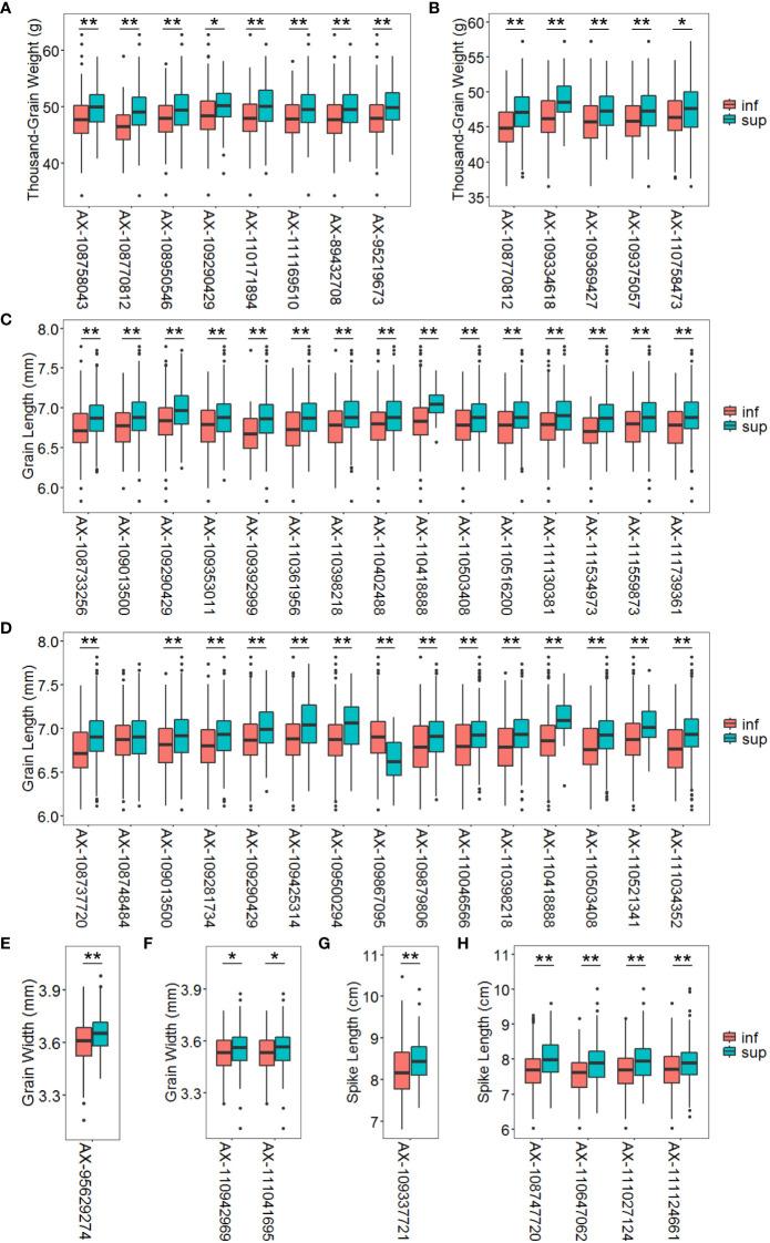
The primary goal of modern wheat breeding is to develop new high-yielding and widely adaptable varieties. We analyzed four yield-related agronomic traits in 502 wheat accessions under normal conditions (NC) and drought treatment (DT) conditions over three years. The genome-wide association analysis identified 51 yield-related and nine drought-resistance-related QTL, including 13 for the thousand-grain weight (TGW), 30 for grain length (GL), three for grain width (GW), five for spike length (SL) and nine for stress tolerance index (STI) QTL in wheat. These QTL, containing 72 single nucleotide polymorphisms (SNPs), explained 2.23 - 7.35% of the phenotypic variation across multiple environments. Eight stable SNPs on chromosomes 2A, 2D, 3B, 4A, 5B, 5D, and 7D were associated with phenotypic stability under NC and DT conditions. Two of these stable SNPs had association with TGW and STI. Several novel QTL for TGW, GL and SL were identified on different chromosomes. Three linked SNPs were transformed into kompetitive allele-specific PCR (KASP) markers. These results will facilitate the discovery of promising SNPs for yield-related traits and/or drought stress tolerance and will accelerate the development of new wheat varieties with desirable alleles.

摘要

现代小麦育种的主要目标是培育新的高产且适应性广泛的品种。我们在三年时间里,对502份小麦种质在正常条件(NC)和干旱处理(DT)条件下的四个与产量相关的农艺性状进行了分析。全基因组关联分析鉴定出51个与产量相关和9个与抗旱性相关的QTL,其中包括小麦中13个与千粒重(TGW)相关的、30个与粒长(GL)相关的、3个与粒宽(GW)相关的、5个与穗长(SL)相关的以及9个与胁迫耐受指数(STI)相关的QTL。这些QTL包含72个单核苷酸多态性(SNP),解释了多个环境中2.23 - 7.35%的表型变异。2A、2D、3B、4A、5B、5D和7D染色体上的8个稳定SNP与NC和DT条件下的表型稳定性相关。其中两个稳定SNP与TGW和STI相关。在不同染色体上鉴定出了几个与TGW、GL和SL相关的新QTL。三个连锁SNP被转化为竞争性等位基因特异性PCR(KASP)标记。这些结果将有助于发现与产量相关性状和/或干旱胁迫耐受性相关的有前景的SNP,并将加速具有理想等位基因的小麦新品种的培育。

https://cdn.ncbi.nlm.nih.gov/pmc/blobs/43d2/9846334/da573667b140/fpls-13-1098560-g007.jpg
https://cdn.ncbi.nlm.nih.gov/pmc/blobs/43d2/9846334/d39b08a7b38b/fpls-13-1098560-g001.jpg
https://cdn.ncbi.nlm.nih.gov/pmc/blobs/43d2/9846334/384c87ff9285/fpls-13-1098560-g002.jpg
https://cdn.ncbi.nlm.nih.gov/pmc/blobs/43d2/9846334/8250a0db705b/fpls-13-1098560-g003.jpg
https://cdn.ncbi.nlm.nih.gov/pmc/blobs/43d2/9846334/fb66def1e31e/fpls-13-1098560-g004.jpg
https://cdn.ncbi.nlm.nih.gov/pmc/blobs/43d2/9846334/f1b8e65d6460/fpls-13-1098560-g005.jpg
https://cdn.ncbi.nlm.nih.gov/pmc/blobs/43d2/9846334/db358b7ca7d8/fpls-13-1098560-g006.jpg
https://cdn.ncbi.nlm.nih.gov/pmc/blobs/43d2/9846334/da573667b140/fpls-13-1098560-g007.jpg
https://cdn.ncbi.nlm.nih.gov/pmc/blobs/43d2/9846334/d39b08a7b38b/fpls-13-1098560-g001.jpg
https://cdn.ncbi.nlm.nih.gov/pmc/blobs/43d2/9846334/384c87ff9285/fpls-13-1098560-g002.jpg
https://cdn.ncbi.nlm.nih.gov/pmc/blobs/43d2/9846334/8250a0db705b/fpls-13-1098560-g003.jpg
https://cdn.ncbi.nlm.nih.gov/pmc/blobs/43d2/9846334/fb66def1e31e/fpls-13-1098560-g004.jpg
https://cdn.ncbi.nlm.nih.gov/pmc/blobs/43d2/9846334/f1b8e65d6460/fpls-13-1098560-g005.jpg
https://cdn.ncbi.nlm.nih.gov/pmc/blobs/43d2/9846334/db358b7ca7d8/fpls-13-1098560-g006.jpg
https://cdn.ncbi.nlm.nih.gov/pmc/blobs/43d2/9846334/da573667b140/fpls-13-1098560-g007.jpg

相似文献

1
Genome-wide association study of yield-related traits in common wheat ( L.) under normal and drought treatment conditions.普通小麦在正常和干旱处理条件下产量相关性状的全基因组关联研究。
Front Plant Sci. 2023 Jan 4;13:1098560. doi: 10.3389/fpls.2022.1098560. eCollection 2022.
2
High-resolution detection of quantitative trait loci for seven important yield-related traits in wheat (Triticum aestivum L.) using a high-density SLAF-seq genetic map.利用高密度 SLAF-seq 遗传图谱高分辨率检测小麦(Triticum aestivum L.)七个重要产量相关性状的数量性状基因座。
BMC Genom Data. 2022 May 13;23(1):37. doi: 10.1186/s12863-022-01050-0.
3
Identification of the quantitative trait loci controlling spike-related traits in hexaploid wheat (Triticum aestivum L.).鉴定六倍体小麦(Triticum aestivum L.)穗相关性状的数量性状位点。
Planta. 2019 Dec;250(6):1967-1981. doi: 10.1007/s00425-019-03278-0. Epub 2019 Sep 16.
4
QTL mapping for grain yield-related traits in bread wheat via SNP-based selective genotyping.利用 SNP 选择基因分型技术对面包小麦产量相关性状进行 QTL 作图。
Theor Appl Genet. 2020 Mar;133(3):857-872. doi: 10.1007/s00122-019-03511-0. Epub 2019 Dec 16.
5
Genome-wide association study identifies QTL for thousand grain weight in winter wheat under normal- and late-sown stressed environments.全基因组关联研究鉴定了冬小麦正常播期和晚播期胁迫环境下千粒重的 QTL。
Theor Appl Genet. 2021 Jan;134(1):143-157. doi: 10.1007/s00122-020-03687-w. Epub 2020 Oct 8.
6
Mapping QTLs associated with agronomic and physiological traits under terminal drought and heat stress conditions in wheat (Triticum aestivum L.).定位小麦(Triticum aestivum L.)在终末期干旱和热胁迫条件下与农艺和生理性状相关的数量性状位点
Genome. 2017 Jan;60(1):26-45. doi: 10.1139/gen-2016-0017. Epub 2016 Sep 15.
7
Genome-wide association study of yield and related traits in common wheat under salt-stress conditions.盐胁迫条件下普通小麦产量及相关性状的全基因组关联研究。
BMC Plant Biol. 2021 Jan 7;21(1):27. doi: 10.1186/s12870-020-02799-1.
8
Two QTL regions for spike length showing pleiotropic effects on Fusarium head blight resistance and thousand-grain weight in bread wheat ( L.).两个影响面包小麦(L.)穗长的数量性状位点区域,对赤霉病抗性和千粒重具有多效性。
Mol Breed. 2023 Nov 14;43(11):82. doi: 10.1007/s11032-023-01427-8. eCollection 2023 Nov.
9
Identification of structural variations related to drought tolerance in wheat (Triticum aestivum L.).小麦(普通小麦)中与耐旱性相关的结构变异鉴定。
Theor Appl Genet. 2023 Mar 10;136(3):37. doi: 10.1007/s00122-023-04283-4.
10
Genome-wide association study of six quality-related traits in common wheat (Triticum aestivum L.) under two sowing conditions.在两种播种条件下对普通小麦(Triticum aestivum L.)六个质量相关性状的全基因组关联研究。
Theor Appl Genet. 2021 Jan;134(1):399-418. doi: 10.1007/s00122-020-03704-y. Epub 2020 Nov 5.

引用本文的文献

1
Pleiotropic Quantitative Trait Loci (QTL) Mining for Regulating Wheat Processing Quality- and Yield-Related Traits.调控小麦加工品质和产量相关性状的多效性数量性状位点(QTL)挖掘
Plants (Basel). 2024 Sep 10;13(18):2545. doi: 10.3390/plants13182545.
2
Reviewing the essential roles of remote phenotyping, GWAS and explainable AI in practical marker-assisted selection for drought-tolerant winter wheat breeding.回顾远程表型分析、全基因组关联研究(GWAS)以及可解释人工智能在耐旱冬小麦育种实际标记辅助选择中的重要作用。
Front Plant Sci. 2024 Apr 18;15:1319938. doi: 10.3389/fpls.2024.1319938. eCollection 2024.
3
Screening and Structural Characterization of Heat Shock Response Elements (HSEs) in Promoters.

本文引用的文献

1
Identification of a major and stable QTL on chromosome 5A confers spike length in wheat ( L.).在5A染色体上鉴定出一个主要且稳定的数量性状位点,该位点决定了小麦(L.)的穗长。
Mol Breed. 2021 Sep 7;41(9):56. doi: 10.1007/s11032-021-01249-6. eCollection 2021 Sep.
2
Whole-genome analysis of hard winter wheat germplasm identifies genomic regions associated with spike and kernel traits.对硬冬小麦种质资源的全基因组分析鉴定出与穗部和籽粒性状相关的基因组区域。
Theor Appl Genet. 2022 Sep;135(9):2953-2967. doi: 10.1007/s00122-022-04160-6. Epub 2022 Aug 8.
3
Conferring of drought tolerance in wheat ( L.) genotypes using seedling indices.
启动子中热休克反应元件(HSEs)的筛选与结构表征
Int J Mol Sci. 2024 Jan 21;25(2):1319. doi: 10.3390/ijms25021319.
4
Combined linkage analysis and association mapping identifies genomic regions associated with yield-related and drought-tolerance traits in wheat (Triticum aestivum L.).联合连锁分析和关联作图鉴定与小麦(Triticum aestivum L.)产量相关和耐旱性状相关的基因组区域。
Theor Appl Genet. 2023 Nov 20;136(12):250. doi: 10.1007/s00122-023-04494-9.
利用幼苗指标赋予小麦(L.)基因型耐旱性。
Front Plant Sci. 2022 Jul 22;13:961049. doi: 10.3389/fpls.2022.961049. eCollection 2022.
4
Genetic networks underlying salinity tolerance in wheat uncovered with genome-wide analyses and selective sweeps.利用全基因组分析和选择清除揭示小麦耐盐性的遗传网络。
Theor Appl Genet. 2022 Sep;135(9):2925-2941. doi: 10.1007/s00122-022-04153-5. Epub 2022 Aug 1.
5
Genome-Wide Association Mapping Identifies Key Genomic Regions for Grain Zinc and Iron Biofortification in Bread Wheat.全基因组关联图谱鉴定出面包小麦籽粒锌和铁生物强化的关键基因组区域。
Front Plant Sci. 2022 Jun 30;13:903819. doi: 10.3389/fpls.2022.903819. eCollection 2022.
6
Genome-Wide Association Study of Kernel Traits Using a 35K SNP Array in Bread Wheat ( L.).利用35K单核苷酸多态性(SNP)芯片对面包小麦(L.)籽粒性状进行全基因组关联研究。
Front Plant Sci. 2022 Jun 6;13:905660. doi: 10.3389/fpls.2022.905660. eCollection 2022.
7
Association Mapping of Drought Tolerance Indices in Ethiopian Durum Wheat ( ssp. durum).埃塞俄比亚硬粒小麦(硬粒小麦亚种)耐旱性指标的关联分析
Front Plant Sci. 2022 May 26;13:838088. doi: 10.3389/fpls.2022.838088. eCollection 2022.
8
The PGS1 basic helix-loop-helix protein regulates Fl3 to impact seed growth and grain yield in cereals.PGS1 基本螺旋-环-螺旋蛋白调节 Fl3 影响谷类种子生长和产量。
Plant Biotechnol J. 2022 Jul;20(7):1311-1326. doi: 10.1111/pbi.13809. Epub 2022 Apr 24.
9
Wheat breeding history reveals synergistic selection of pleiotropic genomic sites for plant architecture and grain yield.小麦的选育历史揭示了对植物结构和谷物产量具有多效性的基因组位点的协同选择。
Mol Plant. 2022 Mar 7;15(3):504-519. doi: 10.1016/j.molp.2022.01.004. Epub 2022 Jan 10.
10
Genome-Wide Linkage Mapping for Preharvest Sprouting Resistance in Wheat Using 15K Single-Nucleotide Polymorphism Arrays.利用15K单核苷酸多态性阵列对小麦收获前穗发芽抗性进行全基因组连锁图谱构建
Front Plant Sci. 2021 Oct 14;12:749206. doi: 10.3389/fpls.2021.749206. eCollection 2021.